Foram encontradas 45 questões.
Determine a solução ótima para o problema de programação linear abaixo utilizando o método simplex:
Maximizar Z=3 x1t 5x2
Sujeito a: !$ \begin{align} x_1+x_3=4\\2x_2+x_4=12\\3x_1+2x_2+x_5=18\end{align} !$
Provas
RAÍZES DO BRASIL
Nas formas de vida coletiva podem assinalar-se dois princípios que se combatem e regulam diversamente as atividades dos homens. Esses dois princípios encarnam-se nos tipos do aventureiro e do trabalhador. Já nas sociedades rudimentares, manifestam-se eles, segundo sua predominância, na distinção fundamental entre os povos caçadores ou coletores e os povos lavradores. Para uns, o objeto final, a mira de todo esforço, o ponto de chegada, assume relevância tão capital que chega a dispensar, por secundários, por supérfluos, todos os processos intermediários. Seu ideal será colher o fruto sem plantar a árvore.
Esse tipo humano ignora as fronteiras. No fundo, tudo se apresenta a ele em generosa amplitude e, onde quer que se erija um obstáculo a seus propósitos ambiciosos, sabe transformar esse obstáculo em trampolim.
Vive dos espaços ilimitados, dos projetos vastos, dos horizontes distantes. O trabalhador, ao contrário, é aquele que enxerga primeiro a dificuldade a vencer, não o triunfo a alcançar. O esforço lento, pouco compensador e persistente, que, no entanto, mede todas as possibilidades de desperdício e sabe tirar o máximo proveito do insignificante, tem sentido nítido para ele. Seu campo visual é naturalmente restrito. A parte, maior que o todo.
Existe uma ética do trabalho, como existe uma ética da aventura. Assim, o indivíduo do tipo trabalhador só atribuirá valor moral positivo às ações que sente ânimo de praticar e, inversamente, terá por imorais e detestáveis as qualidades próprias do aventureiro: audácia, imprevidência, irresponsabilidade, instabilidade, vagabundagem, tudo, enfim, quanto se relacione com a concepção espaçosa do mundo, característica desse tipo.
Por outro lado, as energias e esforços que se dirigem a uma recompensa imediata são enaltecidos pelos aventureiros, as energias que visam à estabilidade, à paz, à segurança pessoal e aos esforços sem perspectivas de rápido proveito passam, ao contrário, por viciosos e desprezíveis para eles. Nada lhes parece mais estúpido e mesquinho do que o ideal do trabalhador.
(HOLANDA Sérgio Buarque de.Raízes do Brasil. São Paulo: Companhia das Letras, 1999.)
A leitura do último período do texto permite ao leitor perceber que
Provas
O custo da qualidade pode ser composto por custos de prevenção, custos de avaliação, custos de falhas internas e custos de falhas externas. Dos itens listados abaixo, pode ser considerado como custo de avaliação:
Provas
RAÍZES DO BRASIL
Nas formas de vida coletiva podem assinalar-se dois princípios que se combatem e regulam diversamente as atividades dos homens. Esses dois princípios encarnam-se nos tipos do aventureiro e do trabalhador. Já nas sociedades rudimentares, manifestam-se eles, segundo sua predominância, na distinção fundamental entre os povos caçadores ou coletores e os povos lavradores. Para uns, o objeto final, a mira de todo esforço, o ponto de chegada, assume relevância tão capital que chega a dispensar, por secundários, por supérfluos, todos os processos intermediários. Seu ideal será colher o fruto sem plantar a árvore.
Esse tipo humano ignora as fronteiras. No fundo, tudo se apresenta a ele em generosa amplitude e, onde quer que se erija um obstáculo a seus propósitos ambiciosos, sabe transformar esse obstáculo em trampolim.
Vive dos espaços ilimitados, dos projetos vastos, dos horizontes distantes. O trabalhador, ao contrário, é aquele que enxerga primeiro a dificuldade a vencer, não o triunfo a alcançar. O esforço lento, pouco compensador e persistente, que, no entanto, mede todas as possibilidades de desperdício e sabe tirar o máximo proveito do insignificante, tem sentido nítido para ele. Seu campo visual é naturalmente restrito. A parte, maior que o todo.
Existe uma ética do trabalho, como existe uma ética da aventura. Assim, o indivíduo do tipo trabalhador só atribuirá valor moral positivo às ações que sente ânimo de praticar e, inversamente, terá por imorais e detestáveis as qualidades próprias do aventureiro: audácia, imprevidência, irresponsabilidade, instabilidade, vagabundagem, tudo, enfim, quanto se relacione com a concepção espaçosa do mundo, característica desse tipo.
Por outro lado, as energias e esforços que se dirigem a uma recompensa imediata são enaltecidos pelos aventureiros, as energias que visam à estabilidade, à paz, à segurança pessoal e aos esforços sem perspectivas de rápido proveito passam, ao contrário, por viciosos e desprezíveis para eles. Nada lhes parece mais estúpido e mesquinho do que o ideal do trabalhador.
(HOLANDA Sérgio Buarque de.Raízes do Brasil. São Paulo: Companhia das Letras, 1999.)
Tirar o máximo proveito do insignificante é marca registrada de
Provas
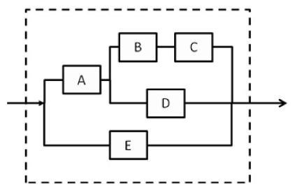
Cinco componentes (A, B, C, De E), com confiabilidades de 0,991, 0,998, 0,975, 0,964 e 0,990, respectivamente, estão ligados conforme a figura a seguir. A confiabilidade do sistema é de:

Provas
RAÍZES DO BRASIL
Nas formas de vida coletiva podem assinalar-se dois princípios que se combatem e regulam diversamente as atividades dos homens. Esses dois princípios encarnam-se nos tipos do aventureiro e do trabalhador. Já nas sociedades rudimentares, manifestam-se eles, segundo sua predominância, na distinção fundamental entre os povos caçadores ou coletores e os povos lavradores. Para uns, o objeto final, a mira de todo esforço, o ponto de chegada, assume relevância tão capital que chega a dispensar, por secundários, por supérfluos, todos os processos intermediários. Seu ideal será colher o fruto sem plantar a árvore.
Esse tipo humano ignora as fronteiras. No fundo, tudo se apresenta a ele em generosa amplitude e, onde quer que se erija um obstáculo a seus propósitos ambiciosos, sabe transformar esse obstáculo em trampolim.
Vive dos espaços ilimitados, dos projetos vastos, dos horizontes distantes. O trabalhador, ao contrário, é aquele que enxerga primeiro a dificuldade a vencer, não o triunfo a alcançar. O esforço lento, pouco compensador e persistente, que, no entanto, mede todas as possibilidades de desperdício e sabe tirar o máximo proveito do insignificante, tem sentido nítido para ele. Seu campo visual é naturalmente restrito. A parte, maior que o todo.
Existe uma ética do trabalho, como existe uma ética da aventura. Assim, o indivíduo do tipo trabalhador só atribuirá valor moral positivo às ações que sente ânimo de praticar e, inversamente, terá por imorais e detestáveis as qualidades próprias do aventureiro: audácia, imprevidência, irresponsabilidade, instabilidade, vagabundagem, tudo, enfim, quanto se relacione com a concepção espaçosa do mundo, característica desse tipo.
Por outro lado, as energias e esforços que se dirigem a uma recompensa imediata são enaltecidos pelos aventureiros, as energias que visam à estabilidade, à paz, à segurança pessoal e aos esforços sem perspectivas de rápido proveito passam, ao contrário, por viciosos e desprezíveis para eles. Nada lhes parece mais estúpido e mesquinho do que o ideal do trabalhador.
(HOLANDA Sérgio Buarque de.Raízes do Brasil. São Paulo: Companhia das Letras, 1999.)
A expressão “Por outro lado [...|” prepara o leitor para a ideia de que
Provas
RAÍZES DO BRASIL
Nas formas de vida coletiva podem assinalar-se dois princípios que se combatem e regulam diversamente as atividades dos homens. Esses dois princípios encarnam-se nos tipos do aventureiro e do trabalhador. Já nas sociedades rudimentares, manifestam-se eles, segundo sua predominância, na distinção fundamental entre os povos caçadores ou coletores e os povos lavradores. Para uns, o objeto final, a mira de todo esforço, o ponto de chegada, assume relevância tão capital que chega a dispensar, por secundários, por supérfluos, todos os processos intermediários. Seu ideal será colher o fruto sem plantar a árvore.
Esse tipo humano ignora as fronteiras. No fundo, tudo se apresenta a ele em generosa amplitude e, onde quer que se erija um obstáculo a seus propósitos ambiciosos, sabe transformar esse obstáculo em trampolim.
Vive dos espaços ilimitados, dos projetos vastos, dos horizontes distantes. O trabalhador, ao contrário, é aquele que enxerga primeiro a dificuldade a vencer, não o triunfo a alcançar. O esforço lento, pouco compensador e persistente, que, no entanto, mede todas as possibilidades de desperdício e sabe tirar o máximo proveito do insignificante, tem sentido nítido para ele. Seu campo visual é naturalmente restrito. A parte, maior que o todo.
Existe uma ética do trabalho, como existe uma ética da aventura. Assim, o indivíduo do tipo trabalhador só atribuirá valor moral positivo às ações que sente ânimo de praticar e, inversamente, terá por imorais e detestáveis as qualidades próprias do aventureiro: audácia, imprevidência, irresponsabilidade, instabilidade, vagabundagem, tudo, enfim, quanto se relacione com a concepção espaçosa do mundo, característica desse tipo.
Por outro lado, as energias e esforços que se dirigem a uma recompensa imediata são enaltecidos pelos aventureiros, as energias que visam à estabilidade, à paz, à segurança pessoal e aos esforços sem perspectivas de rápido proveito passam, ao contrário, por viciosos e desprezíveis para eles. Nada lhes parece mais estúpido e mesquinho do que o ideal do trabalhador.
(HOLANDA Sérgio Buarque de.Raízes do Brasil. São Paulo: Companhia das Letras, 1999.)
De acordo com a leitura de Raízes do Brasil, de Sérgio Buarque de Holanda, a alternativa cuja associação está incorreta é
Provas
RAÍZES DO BRASIL
Nas formas de vida coletiva podem assinalar-se dois princípios que se combatem e regulam diversamente as atividades dos homens. Esses dois princípios encarnam-se nos tipos do aventureiro e do trabalhador. Já nas sociedades rudimentares, manifestam-se eles, segundo sua predominância, na distinção fundamental entre os povos caçadores ou coletores e os povos lavradores. Para uns, o objeto final, a mira de todo esforço, o ponto de chegada, assume relevância tão capital que chega a dispensar, por secundários, por supérfluos, todos os processos intermediários. Seu ideal será colher o fruto sem plantar a árvore.
Esse tipo humano ignora as fronteiras. No fundo, tudo se apresenta a ele em generosa amplitude e, onde quer que se erija um obstáculo a seus propósitos ambiciosos, sabe transformar esse obstáculo em trampolim.
Vive dos espaços ilimitados, dos projetos vastos, dos horizontes distantes. O trabalhador, ao contrário, é aquele que enxerga primeiro a dificuldade a vencer, não o triunfo a alcançar. O esforço lento, pouco compensador e persistente, que, no entanto, mede todas as possibilidades de desperdício e sabe tirar o máximo proveito do insignificante, tem sentido nítido para ele. Seu campo visual é naturalmente restrito. A parte, maior que o todo.
Existe uma ética do trabalho, como existe uma ética da aventura. Assim, o indivíduo do tipo trabalhador só atribuirá valor moral positivo às ações que sente ânimo de praticar e, inversamente, terá por imorais e detestáveis as qualidades próprias do aventureiro: audácia, imprevidência, irresponsabilidade, instabilidade, vagabundagem, tudo, enfim, quanto se relacione com a concepção espaçosa do mundo, característica desse tipo.
Por outro lado, as energias e esforços que se dirigem a uma recompensa imediata são enaltecidos pelos aventureiros, as energias que visam à estabilidade, à paz, à segurança pessoal e aos esforços sem perspectivas de rápido proveito passam, ao contrário, por viciosos e desprezíveis para eles. Nada lhes parece mais estúpido e mesquinho do que o ideal do trabalhador.
(HOLANDA Sérgio Buarque de.Raízes do Brasil. São Paulo: Companhia das Letras, 1999.)
Segundo as informações do texto, para os aventureiros, nas sociedades primitivas,
Provas
Um produto de demanda estacionária registrou os seguintes valores de demanda nos últimos meses.
| Mês | Janeiro | Fevereiro | Março | Abril | Maio | Junho |
| Demanda | 270 | 270 | 210 | 270 | 240 | 220 |
O valor da demanda prevista para o mês de julho, utilizando-se para o cálculo o método da média móvel simples com horizonte de tempo de 4 meses, é de:
Provas
metodologia adotada pela pesquisa operacional, em uma visão macro, pode ser representada pela seguinte etapa:
Provas
Caderno Container