Foram encontradas 419 questões.
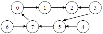
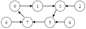
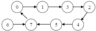
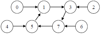
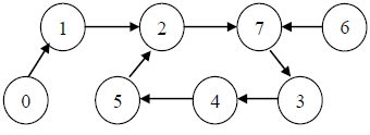
Para o contador síncrono ilustrado abaixo, marque a sentença relativa a sua contagem:

Provas
Questão presente nas seguintes provas
É cada vez mais importante que sejam pensados projetos que minimizem os gastos energéticos com iluminação e ventilação artificiais. Para tal, existem algumas alternativas projetuais que aproveitam a iluminação e ventilação naturais. Algumas delas estão exemplificadas nas figuras abaixo. Com base nas figuras é incorreto afirmar:

Provas
Questão presente nas seguintes provas
Entre os recursos naturais de nosso planeta os solos são de relevante importância, sobretudo perante a produção de alimentos. Com relação ao solo, suas características e sua formação, é incorreto afirmar que:
Provas
Questão presente nas seguintes provas
1365432
Ano: 2010
Disciplina: TI - Organização e Arquitetura dos Computadores
Banca: IF-RS
Orgão: IF-RS
Disciplina: TI - Organização e Arquitetura dos Computadores
Banca: IF-RS
Orgão: IF-RS
Provas:
Em um esquema de tolerância a falhas, sempre que os dados são gravados em disco, eles também são gravados em um disco redundante, de tal maneira que sempre haja duas cópias da informação. Se um disco falha, o sistema simplesmente lê o conteúdo do disco "espelho" para obter a informação desejada. Essa descrição corresponde a qual nível de RAID?
Provas
Questão presente nas seguintes provas
Os duroplásticos caracterizam-se, fundamentalmente, por serem materiais
Provas
Questão presente nas seguintes provas
O homem, segundo Hezberg, tem duas categorias básicas de necessidades: fatores de higiene e fatores de motivação. Os fatores de higiene são aqueles que não provocam crescimento na capacidade de produção do homem, apenas impedem perdas na realização do empregado. Os fatores motivadores traduzem fonte de satisfação, indicando sentimentos de realização, crescimento profissional e reconhecimento. Dentre os fatores citados a seguir atribua 1 para fator de higiene e 2 para fator de motivação:
| Fator | 1- higiene 2- motivação |
| Dinheiro | |
| Condições de trabalho | |
| Realização | |
| Relações interpessoais | |
| Trabalho desafiador | |
| Segurança | |
| Maior responsabilidade | |
| Supervisão |
A seqüência correta é:
Provas
Questão presente nas seguintes provas
A relação ensino-aprendizagem escolar pode ser representada de três maneiras: Pedagogia Diretiva, Não-Diretiva e Relacional. De acordo com as características de cada uma, relacione as colunas abaixo, marcando:
1 – para Pedagogia Diretiva
2 – para Pedagogia Não-Diretiva
3 – para Pedagogia Relacional
( ) A pedagogia centra-se na transmissão de conhecimentos.
( ) Professor e aluno são eternos aprendentes.
( ) O que é construído serve de patamar para novas aprendizagens.
( ) O professor acredita que o aluno aprende por si mesmo.
( ) O aluno é visto como uma tábula rasa, o indivíduo ao nascer nada tem em termos de conhecimento.
( ) O ser humano nasce com o conhecimento já programado na sua herança genética.
Assinale a alternativa que indica a sequência correta, de cima para baixo:
Provas
Questão presente nas seguintes provas
- PODC: Processo OrganizacionalProcesso Administrativo: OrganizaçãoIntrodução ao Processo de Organização
O desenho departamental refere-se à estrutura organizacional dos departamentos ou divisões da empresa, ou seja, ao esquema de diferenciação e de integração existente no nível intermediário da empresa. Analise as afirmativas sobre desenho departamental e assinale verdadeiro ou falso em cada uma delas.
( ) A departamentalização funcional é a organização feita com base nas funções que requerem atividades similares e que são agrupadas juntas e identificadas de acordo com alguma classificação funcional, como finanças, recursos humanos, mercadologia, produção, etc.
( ) A departamentalização por processo é quase restrita a aplicações no nível operacional das empresas industriais e de serviços, principalmente nas áreas produtiva ou de operações. É o processo de produção dos bens ou serviços que determina a estratégia de diferenciação e agrupamento.
( ) A departamentalização por clientela requer diferenciação e agrupamento das atividades de acordo com a localização onde o trabalho será desempenhado ou uma área de mercado a ser servida pela empresa. É utilizada por empresas que cobrem grandes áreas geográficas e cujos mercados são extensos.
( ) A organização matricial é a combinação de formas de departamentalização funcional e de produto ou projeto na mesma estrutura organizacional. Trata-se de uma estrutura mista, em forma de dupla entrada: a organização funcional é verticalizada e a organização por produtos ou projeto horizontalizada, ambas se superpondo.
A sequência correta é:
Provas
Questão presente nas seguintes provas
A criança e o adolescente têm direito a proteção, à vida e à saúde, mediante a efetivação de políticas sociais públicas que permitam o nascimento e desenvolvimento sadio e harmonioso em condições dignas de existência. Este artigo foi retirado da lei:
Provas
Questão presente nas seguintes provas
Na colméia de abelhas africanizadas criadas no Brasil encontram-se três castas de abelhas, sendo uma rainha que tem função de por ovos, os zangões que aguardam momento para fecundar uma rainha em vôo nupcial e as abelhas operárias que executam todas as atividades de busca de alimento e elaboração do mel, geléia real e cera para construção dos favos. Mediante esta organização na colméia, um ovo de rainha, de operária e de zangão levam, respectivamente, quantos dias para nascer:
Provas
Questão presente nas seguintes provas
Cadernos
Caderno Container