Foram encontradas 30 questões.
Provas
Provas
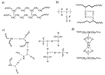
As figuras a seguir representam os principais tipos de interações intermoleculares existentes em moléculas de polímeros. Considerando a natureza química das cadeias poliméricas, indique a alternativa que relaciona corretamente cada representação com a sua respectiva interação intermolecular:

Provas
Provas
Provas
O comportamento pseudoplástico é o mais comum em polímeros fundidos, mas não é o único. Indique qual curva representa um material pseudoplástico no gráfico de tensão de cisalhamento versus taxa de cisalhamento apresentado a seguir:

Provas
Provas
Normalmente quando uma empresa deseja comprar uma extrusora de termoplásticos, o comprador faz a análise da capacidade de produção através do diâmetro da rosca. O comprador de uma empresa encontrou duas extrusoras, ambas de passo quadrado e com o mesmo diâmetro de rosca, mas com diferente razão entre o comprimento e o diâmetro das roscas (L/D). Isso significa que:
I. As extrusoras possuem diferentes capacidades de rendimento (vazão).
II. Extrusoras mais longas, com maior L/D, proporcionam maior fusão e maior capacidade de mistura, permitindo que a extrusora opere em taxas mais elevadas.
III. A extrusora de L/D menor proporcionará um tempo de residência menor do extrusado e deve ser a opção caso o polímero a ser extrusado seja sensível à temperatura.
Assinale a alternativa em que toda(s) a(s)
afirmativa(s) está(ão) CORRETA(S):
Provas
( ) A zona de compressão é responsável pela fusão do sólido devido à sua proximidade com as resistências elétricas e por estar no meio da rosca.
( ) Uma rosca com zona de compressão longa afeta o tempo de residência do polímero na extrusora. Ocorre uma maior interação entre a fase sólido/liquido (fundido).
( ) A profundidade do canal da rosca na zona de controle de vazão interfere no processamento de polímeros convencionais. Quando temos nesta zona uma profundidade de canal baixa; consequentemente teremos uma vazão baixa, se tivermos uma temperatura alta e uma taxa de cisalhanento alta, teremos boa mistura e baixo esforço.
( ) Uma extrusora mono-rosca de passo quadrado, que tem uma rosca com zona de compressão curta, tem alto cisalhamento provocado pela alta compressividade.
( ) A zona de alimentação é responsável pelo transporte inicial de sólidos, garantindo que o material não retorne.
Provas
Provas
Caderno Container