Foram encontradas 40 questões.
Sobre os algoritmos conhecidos como FFT (Fast Fourier Transform), avalie as afirmações abaixo e marque com (V) as verdadeiras e com (F) as falsas.
( ) No diagrama de fluxo de sinais dos algoritmos, há uma estrutura conhecida na literatura como borboleta.
( ) A FFT é uma aproximação de grande precisão da DFT (Discrete Fourier Transform).
( ) Para um sinal real e par, a fase obtida via FFT pode ser desprezada.
( ) Implementações da FFT geralmente fazem uso de decimação em tempo ou em frequência.
Assinale a alternativa que contém a sequência CORRETA, de cima para baixo.
Provas
Em uma dada arquitetura de microprocessadores, estima-se que um filtro IIR, implementado em ponto fixo, 16 bits, leva o seguinte número de ciclos de relógio para ser executado:
nclk=150+50B,
onde B representa o número de biquadradas do filtro.
Em uma determinada aplicação, deseja-se implementar uma estrutura IIR de ordem 10. Considerando que o processador opera com frequência de relógio de 20 MHz, determine qual a frequência máxima de amostragem do sinal a ser processado, considerando que o sinal já está no formato ponto fixo correto.
Assinale a alternativa CORRETA.
Provas
Considere a seguinte função de transferência:
!$ H(z) = { \Large { z + 1 \over 2(z -1)}} !$
Avalie as afirmações abaixo e marque com (V) as verdadeiras e com (F) as falsas.
( ) A equação de diferenças correspondente é y [n]=y [n−1]+0.5{ x [n]+ x [n−1]}
( ) Representa um integrador digital.
( ) Apresenta um polo em z=−1 .
( ) O zero reduz a contaminação do sinal por ruído aleatório de alta frequência.
Assinale a alternativa que contém a sequência CORRETA, de cima para baixo.
Provas
O processo de eco acústico pode ser modelado através do seguinte diagrama em blocos, onde x [n] é o sinal de entrada e y [n] , o sinal resultante com eco.

Considerando que o sinal de entrada é amostrado a 48 kHz, assinale a alternativa INCORRETA.
Provas
Dois tons puros, nas frequências de 150 Hz e 5000 Hz, cada um deles com amplitude de 1 V pico a pico são usados, independentemente, como entrada de um filtro passa-baixas Butterworth de segunda ordem, ganho unitário em baixas frequências e frequência de corte de 500 Hz.
Assinale a alternativa CORRETA.
Provas
O diagrama esquemático seguinte representa um sistema onde VIN representa uma tensão de entrada e VOUT, a tensão de saída.

Considerando componentes ideais, avalie as afirmações abaixo e marque com (V) as verdadeiras e com (F) as falsas.
( ) A estrutura representa um filtro seletor de sinais de quarta ordem.
( ) A estrutura é um filtro do tipo passa-altas.
( ) A taxa de atenuação na banda de rejeição é de 40 dB/década.
( ) A resposta em frequência do filtro apresenta ondulação na banda de rejeição.
Assinale a alternativa que contém a sequência CORRETA, de cima para baixo.
Provas
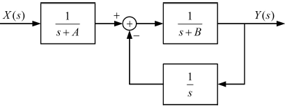
Considere um sistema de tempo contínuo, linear e invariante no tempo, causal, representado pelo diagrama de blocos da figura abaixo, onde A e B são variáveis reais e X(s) e Y (s) representam, respectivamente, as transformadas de Laplace dos sinais de entrada e saída.

Leia com atenção as afirmações a seguir e marque (V) para as verdadeiras e (F) para as falsas.
( ) O sistema possui um zero finito e três polos finitos.
( ) Se A for negativo, o sistema é instável.
( ) Para |B|>2 , o sistema possui dois polos imaginários.
( ) Os valores de A e B não influenciam os zeros do sistema.
( ) Para A=B=2 , o sistema possui dois polos de mesmo valor.
Assinale a alternativa que contém a sequência CORRETA, de cima para baixo.
Provas
Considere a implementação de um filtro de média móvel de 3 amostras, com resposta ao impulso h[n] e resposta em frequência !$ H(e^{j \omega}) !$ , representado pela seguinte relação entre os sinais de entrada x [n] e de saída y [n] :
!$ y[n] = { \large 1 \over 3} \textstyle \sum\limits_{K=0}^{2} x[n -K] !$
Assinale a alternativa que apresenta a proposição CORRETA.
Provas
Considere o sinal de tempo contínuo !$ x(t) !$ mostrado abaixo, onde !$ A \ge 0 !$ e !$ B > 0 !$ .

Considerando que a transformada de Fourier desse sinal é !$ X ( j \omega) !$, assinale a alternativa CORRETA.
Provas
A figura abaixo apresenta a resposta ao impulso h(t ) de um sistema linear e invariante no tempo.

Com base nessa figura, assinale a alternativa CORRETA.
Provas
Caderno Container