Foram encontradas 440 questões.
Durante a frenagem regenerativa de um carro elétrico, o motor atua como um gerador, convertendo a energia cinética do veículo em energia elétrica. Suponha que, em uma determinada condição de frenagem, o sistema regenerativo gere uma tensão variável entre 100 V e 150 V. A bateria do carro tem uma tensão nominal de 300 V, mas, para que a energia seja eficientemente armazenada, é necessário que a tensão de carregamento seja 20 V maior devido às quedas de tensão no circuito carregador da bateria. O circuito possui um limitador de tensão apropriado para proteger o circuito carregador da bateria.
Indique a alternativa que apresenta o valor correto do duty cycle D do chopper elevador (boost converter) para garantir que a bateria seja carregada corretamente, considerando a tensão mínima gerada pela frenagem regenerativa.
Provas
A equipe de gestão de energia de uma empresa de tração elétrica identificou a presença de multas da concessionária local por baixo Fator de Potência (FP) em uma de suas oficinas do grupo de média tensão. A oficina tem uma carga acoplada de 11,5 MVA e FP = 0,8. Para evitar multas e garantir o equilíbrio financeiro, optou-se pela implementação de um banco capacitivo ligado em paralelo à instalação para corrigir o FP para 0,92. Indique a alternativa que apresenta corretamente o valor mínimo e aproximado da potência reativa (Qc) a ser injetada pelo banco capacitivo para a correção proposta.
Provas
Circuitos elétricos trifásicos podem alimentar cargas equilibradas ou desequilibradas dependendo da aplicação a que se destinam ou do tipo de instalação elétrica envolvida. Aplicações com cargas desequilibradas devem ser tratadas com cuidado tanto na sua abordagem, como em suas ligações. Como apresentado na figura, para realizar as conexões entre fonte e carga de um sistema elétrico trifásico composto por fontes de tensão equilibradas e ligadas em ∆, e uma carga trifásica desequilibrada também ligada em ∆, foi necessário estimar previamente as correntes circulantes no sistema. Considerando a sequência de fases positiva em Vab, Vbc e Vca, sendo conhecido valor eficaz de Vab e as impedâncias da carga, indique a alternativa correta que apresenta o módulo do valor da corrente de linha Ia rms aproximado.
Considere sen 60°=0,86.

Fonte: IFSP, 2024.
Provas
Um robô industrial é uma máquina programável de propósito geral que possui certas características antropomórficas, sendo o braço mecânico (ou manipulador) a característica antropomórfica mais óbvia. O manipulador, combinado com um controlador de alto nível, permite que um robô industrial realize várias tarefas como carregamento e descarregamento de máquinas e equipamentos, processo de soldagem e pintura pulverizada.
Em relação aos robôs industriais, pode-se afirmar que:
Provas
O funcionamento de inversor de frequência consiste na variação da frequência que alimenta o motor de indução trifásico, por meio de um circuito de controle e dispositivos de estado sólido, inicialmente tiristores e, nos dias atuais, IGBT’s. Porém, operar um motor com frequências abaixo ou acima da sua frequência nominal pode trazer dificuldades à operação. A figura a seguir mostra uma curva operacional típica que os fabricantes divulgam para evitar danos ao motor, em que um fator é aplicado ao conjugado nominal para determinar sua capacidade de trabalho.

Fonte: FRANCHI, C. M. Acionamentos Elétricos. São Paulo: Érica, 4ª edição, 2014.
Assim, sobre operações com inversores de frequência, assinale a alternativa correta.
Provas
Em uma fábrica, um engenheiro precisa garantir que uma bomba de água seja ligada apenas 5 segundos após um sensor de nível detectar que o tanque está vazio. Para isso, ele configurou um temporizador de retardo na energização (TON) com um tempo de 5 segundos no CLP. A bomba deve permanecer ligada enquanto o sensor continuar indicando que o tanque está vazio. O que acontecerá com a bomba se o sensor de nível detectar que o tanque está vazio por 3 segundos e, em seguida, o nível voltar ao normal?
Provas
Um sistema SCADA (Supervisory Control and Data Acquisition) é composto por um conjunto de ferramentas avançadas, usadas para o monitoramento de processos de chão de fábrica. Sobre as características e capacidades dos sistemas SCADA, é correto afirmar:
Provas
Há instrumentos de medição que são utilizados para fazer comparações dimensionais entre dois objetos, tais como um componente manufaturado e uma superfície de referência. Normalmente, os instrumentos de medição por comparação não são capazes de proporcionar um valor absoluto da medida de interesse, em vez disso, eles quantificam a magnitude e a direção do desvio entre as superfícies de dois objetos. Os instrumentos desta categoria podem ser mecânicos ou eletrônicos.
Em relação aos instrumentos de medição por comparação, pode-se afirmar que:
Provas
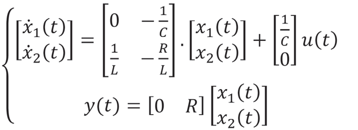
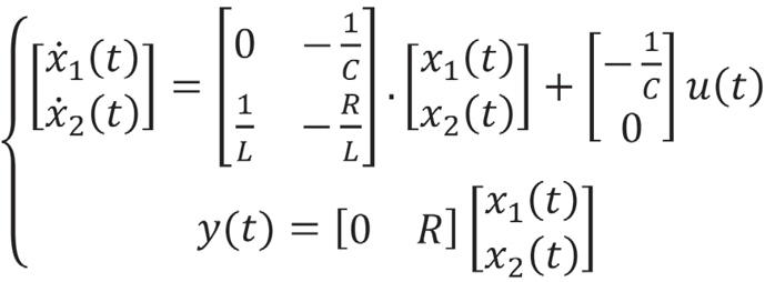
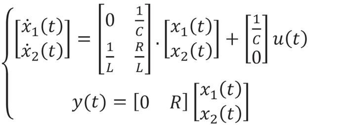
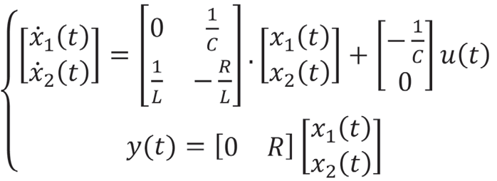
Considere o seguinte circuito elétrico:

Fonte: IFSP, 2024
Determine a equação do circuito em Espaço de Estado. Considere a tensão no capacitor e a corrente no indutor como variáveis de estado, a saída do sistema linear é a tensão no resistor R.
Provas
Redes Neurais Artificiais são técnicas computacionais que utilizam um modelo matemático inspirado no neurônio biológico, obtendo aprendizado pela experiência. Encontra aplicações em visão computacional, automação residencial e industrial, robótica, microeletrônica, entre outros. A respeito de redes neurais MLP (Multi-layer Perceptron), analise as afirmativas:
I. Os parâmetros a serem definidos para a execução de uma rede MLP são número de camadas, número de neurônios em cada camada, taxa de aprendizado e função de ativação;
II. São redes recorrentes;
III. Os neurônios da camada oculta são capazes de capturar a não-linearidade dos dados;
IV. Geralmente utiliza-se a função sigmóide como função de ativação nas camadas oculta e de saída.
As afirmativas corretas são:
Provas
Caderno Container