Foram encontradas 520 questões.
1328158
Ano: 2013
Disciplina: TI - Organização e Arquitetura dos Computadores
Banca: IF-SUL
Orgão: IF-SUL
Disciplina: TI - Organização e Arquitetura dos Computadores
Banca: IF-SUL
Orgão: IF-SUL
Num sistema computacional, o armazenamento de dados ocorre hierarquicamente em diferentes tipos de dispositivos, levando em conta fatores como velocidade, custo e capacidade, conforme figura abaixo.

Qual a alternativa preenche os espaços da figura de acordo com o tipo de memória correspondente?
Provas
Questão presente nas seguintes provas
Observe o circuito ao lado.
Considerando que a fonte possui tensão eficaz de 220 V e frequência de 60 Hz, a tensão sobre o capacitor (Vc), usando notação fasorial, será de

Provas
Questão presente nas seguintes provas
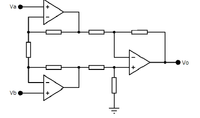
Observe o circuito abaixo, muito utilizado em aplicações de instrumentação.

Supondo amplificadores operacionais ideais e considerando que todos os resistores do circuito sejam idênticos, o sinal de saída pode ser expresso por
Provas
Questão presente nas seguintes provas
Há diversos tipos de fluidos refrigerantes, tais como hidrocarbonetos, halogenados, misturas azeotrópicas, componentes inorgânicos e misturas não azeotrópicas:
Com base nisso, é INCORRETO afirmar que
Provas
Questão presente nas seguintes provas
Estabilizadores de até 3 kVA vendidos no Brasil seguem a norma ABNT NBR14373, de 2006, e apresentam, em relação a um filtro de linha de qualidade semelhante, algumas desvantagens básicas.
Entre as desvantagens dos estabilizadores em relação aos filtros de linha, citamos:
Provas
Questão presente nas seguintes provas
As redes de computadores devem ser capazes de transferir dados de um dispositivo para outro com precisão. Para ter uma transferência correta, uma rede deve garantir que os dados recebidos sejam idênticos àqueles enviados. Diversos fatores podem alterar um ou mais bits de uma mensagem, fazendo com que ela fique com erro.
Dada a mensagem abaixo com erro em rajada.

O comprimento do erro é de
Provas
Questão presente nas seguintes provas
Um motor de 75 CV, a plena carga, possui um rendimento igual a 0,85 com fator de potência 0,687.
Quais são as potências ativa, reativa e aparente solicitadas?
Provas
Questão presente nas seguintes provas
Analise os itens abaixo sobre transformações lineares.
I. Ao aplicar-se uma transformação linear em uma matriz 2 x 3, a imagem gerada é uma matriz de tamanho 4 x 3. Portanto, a matriz de transformação T é de dimensões 4 x 2.
II. Toda transformação linear T admite uma transformação inversa T-1.
III. Seja T uma transformação linear tal que T(!$ \begin{bmatrix} 1 \\ 2 \end{bmatrix} !$) = !$ \begin{bmatrix} 3 \\ 7 \end{bmatrix} !$ e T(!$ \begin{bmatrix} 3 \\ 5 \end{bmatrix} !$) = !$ \begin{bmatrix} 6 \\ 15 \end{bmatrix} !$. Logo, T(!$ \begin{bmatrix} 1 \\ 1 \end{bmatrix} !$) = !$ \begin{bmatrix} 0 \\ 1 \end{bmatrix} !$.
Estão corretas apenas as afirmativas
Provas
Questão presente nas seguintes provas
Em um plano cartesiano, cuja origem está no ponto (0,0) temos o ponto A de coordenadas (2,3). Após alterou-se a origem deste plano para o ponto (-1,2) e o ponto A permaneceu exatamente na mesma posição.
Quais as novas coordenadas do ponto A?
Provas
Questão presente nas seguintes provas
“O fenômeno do efeito fotoelétrico consiste na liberação de elétrons pela superfície de um metal, após a absorção da energia proveniente da radiação eletromagnética incidente sobre ele, de tal modo que a energia total da radiação é parcialmente transformada em energia cinética dos elétrons expelidos.”
Fonte: CARUSO, Francisco; OGURI, Vitor. Física Moderna: Origens Clássicas e Fundamentos Quânticos. Ed. Elsevier: Rio de Janeiro, 2006.
A respeito do efeito fotoelétrico, são feitas as seguintes afirmativas:
I. Existe um intervalo de tempo mensurável entre a incidência de radiação eletromagnética e a ejeção dos elétrons da superfície metálica.
II. A energia cinética dos fotoelétrons é igual à energia dos fótons de radiação incidente.
III. O aumento da intensidade da radiação incidente na superfície metálica provoca aumento da população e da energia cinética dos elétrons ejetados.
IV. Existe uma frequência mínima de radiação para que ocorra o efeito fotoelétrico.
Está (ão) correta (s) apenas a(s) afirmativa(s)
Provas
Questão presente nas seguintes provas
Cadernos
Caderno Container