Foram encontradas 120 questões.

Considere que o circuito elétrico acima seja alimentado por uma fonte de tensão vi(t) (sinal de entrada) e que se deseje observar o sinal de saída v0(t) nos terminais do resistor de 4 !$ \Omega !$. Com base nessas informações e considerando, ainda, que !$ \omega !$ é a frequência angular, em rad/s, e H(!$ \omega !$) é a razão, em frequência, entre os sinais de saída e entrada mencionados, conforme a equação acima, julgue o item seguinte.
O valor de p é igual a 60 rad/s.
Provas

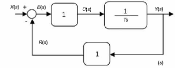
Considere o sistema representado pelo diagrama de blocos acima, no qual se tem uma planta, um controlador e uma malha de realimentação. Nesse diagrama, T representa uma constante e s é o operador da transformada de Laplace. Acerca desse sistema, julgue o item subsequente.
A função de transferência do sistema em tela entre a saída Y(s) e a entrada X(s) é igual a !$ \dfrac{T}{Ts+1} !$
Provas

A figura acima ilustra uma quadra de basquete correspondente a um retângulo com 28 m de comprimento e 15 m de largura. O círculo central tem diâmetro de 3,6 m, e o ponto O, seu centro, coincide com o centro do retângulo. O ponto A está sobre o círculo central, no ponto de interseção deste com a reta que une o centro da quadra com o vértice B, conforme apresentado na figura. Durante a partida, um jogador marca pontos para sua equipe se, depois de arremessar a bola, acertá-la no cesto que fica no campo adversário. Dependendo da distância do arremesso e da circunstância da partida, um acerto da bola no cesto pode valer 1, 2 ou 3 pontos.
Com base nessas informações e tomando 15,88 como valor aproximado de !$ \sqrt{252,25} !$ julgue o item seguinte.
Se um time acertar a bola no cesto adversário 22 vezes, marcar um total de 42 pontos e o número de acertos de 2 pontos for o triplo do número de acertos de 3 pontos, então o número de acertos de 1 ponto será maior que 5.
Provas

A figura acima ilustra uma quadra de basquete correspondente a um retângulo com 28 m de comprimento e 15 m de largura. O círculo central tem diâmetro de 3,6 m, e o ponto O, seu centro, coincide com o centro do retângulo. O ponto A está sobre o círculo central, no ponto de interseção deste com a reta que une o centro da quadra com o vértice B, conforme apresentado na figura. Durante a partida, um jogador marca pontos para sua equipe se, depois de arremessar a bola, acertá-la no cesto que fica no campo adversário. Dependendo da distância do arremesso e da circunstância da partida, um acerto da bola no cesto pode valer 1, 2 ou 3 pontos.
Com base nessas informações e tomando 15,88 como valor aproximado de !$ \sqrt{252,25} !$ julgue o item seguinte.
O comprimento do segmento AB é superior a 14,2 m.
Provas

A figura acima ilustra uma quadra de basquete correspondente a um retângulo com 28 m de comprimento e 15 m de largura. O círculo central tem diâmetro de 3,6 m, e o ponto O, seu centro, coincide com o centro do retângulo. O ponto A está sobre o círculo central, no ponto de interseção deste com a reta que une o centro da quadra com o vértice B, conforme apresentado na figura. Durante a partida, um jogador marca pontos para sua equipe se, depois de arremessar a bola, acertá-la no cesto que fica no campo adversário. Dependendo da distância do arremesso e da circunstância da partida, um acerto da bola no cesto pode valer 1, 2 ou 3 pontos.
Com base nessas informações e tomando 15,88 como valor aproximado de !$ \sqrt{252,25} !$ julgue o item seguinte.
Se a proposição condicional “Se o ingresso custa R$ 5,00 e a cidade tem mais de 100.000 habitantes, então o público de uma partida de basquete é superior a 2.000 pessoas” for falsa, então a proposição “A cidade tem mais de 100.000 habitantes” será verdadeira.
Provas
Há escolas que são gaiolas e há escolas que são asas
Escolas que são gaiolas existem para que os pássaros desaprendam a arte do voo. Pássaros engaiolados são pássaros sob controle. Engaiolados, o seu dono pode levá-los para onde quiser. Pássaros engaiolados sempre têm um dono. Deixaram de ser pássaros. Porque a essência dos pássaros é o voo.
Escolas que são asas não amam pássaros engaiolados. O que elas amam são pássaros em voo. Existem para dar aos pássaros coragem para voar. Ensinar o voo, isso elas não podem fazer, porque o voo já nasce dentro dos pássaros. O voo não pode ser ensinado. Só pode ser encorajado.
Rubem Alves. Internet: <http://pensador.uol.com.br>.
Acerca das ideias e das estruturas linguísticas do texto acima, julgue o item que se segue.
O texto usa metáforas como escola-gaiola e escola-asa para diferenciá-las no modo como se constroem os prédios escolares: ou cercados de muros, sem visão para o exterior, ou com salas cujas janelas se abrem para fora.
Provas
Há escolas que são gaiolas e há escolas que são asas
Escolas que são gaiolas existem para que os pássaros desaprendam a arte do voo. Pássaros engaiolados são pássaros sob controle. Engaiolados, o seu dono pode levá-los para onde quiser. Pássaros engaiolados sempre têm um dono. Deixaram de ser pássaros. Porque a essência dos pássaros é o voo.
Escolas que são asas não amam pássaros engaiolados. O que elas amam são pássaros em voo. Existem para dar aos pássaros coragem para voar. Ensinar o voo, isso elas não podem fazer, porque o voo já nasce dentro dos pássaros. O voo não pode ser ensinado. Só pode ser encorajado.
Rubem Alves. Internet: <http://pensador.uol.com.br>.
Acerca das ideias e das estruturas linguísticas do texto acima, julgue o item que se segue.
Com relação à estrutura morfossintática do texto, é correto afirmar que, com exclusão das orações adjetivas, predominam no texto as relações de coordenação entre orações.
Provas
Há escolas que são gaiolas e há escolas que são asas
Escolas que são gaiolas existem para que os pássaros desaprendam a arte do voo. Pássaros engaiolados são pássaros sob controle. Engaiolados, o seu dono pode levá-los para onde quiser. Pássaros engaiolados sempre têm um dono. Deixaram de ser pássaros. Porque a essência dos pássaros é o voo.
Escolas que são asas não amam pássaros engaiolados. O que elas amam são pássaros em voo. Existem para dar aos pássaros coragem para voar. Ensinar o voo, isso elas não podem fazer, porque o voo já nasce dentro dos pássaros. O voo não pode ser ensinado. Só pode ser encorajado.
Rubem Alves. Internet: <http://pensador.uol.com.br>.
Acerca das ideias e das estruturas linguísticas do texto acima, julgue o item que se segue.
Ao relacionar “Escolas que são asas” a “pássaros engaiolados”, o trecho remete à expressão cortar ou aparar as asas, usada em referência a alguém que deve ter a independência ou intimidade limitada, restringida, diminuída.
Provas
Há escolas que são gaiolas e há escolas que são asas
Escolas que são gaiolas existem para que os pássaros desaprendam a arte do voo. Pássaros engaiolados são pássaros sob controle. Engaiolados, o seu dono pode levá-los para onde quiser. Pássaros engaiolados sempre têm um dono. Deixaram de ser pássaros. Porque a essência dos pássaros é o voo.
Escolas que são asas não amam pássaros engaiolados. O que elas amam são pássaros em voo. Existem para dar aos pássaros coragem para voar. Ensinar o voo, isso elas não podem fazer, porque o voo já nasce dentro dos pássaros. O voo não pode ser ensinado. Só pode ser encorajado.
Rubem Alves. Internet: <http://pensador.uol.com.br>.
Acerca das ideias e das estruturas linguísticas do texto acima, julgue o item que se segue.
Interpretando-se o texto por meio da linguagem metafórica em que é redigido, depreende-se que os alunos — pássaros — em escola-gaiola são submetidos ao autoritarismo do dono da escola e a um controle disciplinar rígido por parte dos professores.
Provas
Julgue o próximo item, acerca das propriedades dos materiais.
O alumínio apresenta elevada condutividade térmica e alta temperatura de fusão — superior a 1.000 ºC.
Provas
Caderno Container