Foram encontradas 50 questões.
A concentração de gás ozônio foi determinada espectrofotometricamente em uma amostra de ar de uma região de intenso tráfego veicular. A absorbância medida na amostra foi de 0,54 em uma cela de caminho óptico de 10,0 cm, em comprimento de onda de 260 nm. Nesse comprimento de onda, o ozônio gasoso possui uma absortividade molar (!$ ε !$) de 2700 L mol−1 cm−1. De acordo com a Lei de Beer, e sabendo que os gases constituintes do ar têm absorbância desprezível a 260 nm, pode-se afirmar que a concentração (mol/L) de ozônio nessa amostra é igual a
Provas
Em relação às características gerais dos métodos volumétricos de análise, analise as assertivas e assinale a alternativa que aponta a(s) correta(s).
I. O erro da titulação é calculado pela razão entre o volume do ponto final e o volume do ponto de equivalência.
II. Um padrão primário que pode ser utilizado para padronizar uma solução de hidróxido de sódio é o hidrogenoftalato de potássio.
III. A titulação de um ácido fraco com uma base forte gera uma solução tampão no ponto de equivalência.
Provas
Em uma titulação de 50 mL de solução de Na2CO3 0,02 mol/L com solução de HCl 0,1 mol/L, foi obtido o seguinte gráfico correspondente à curva de titulação:

Em relação a essa titulação e sua representação gráfica, e sabendo que os valores de pKa1 (H2CO3) e pKa2 (HCO3−) são 6,3 e 10,3, respectivamente, assinale a alternativa correta.
Provas
Em relação ao íon complexo: [Co(en)2Cl2]+, assinale a alternativa que apresenta o estado de oxidação do metal e o número de coordenação do metal, respectivamente.
Provas
Considerando que as soluções aquosas listadas a seguir são soluções ideais, a 0,1 mol/L, e estão sob as mesmas condições de temperatura e pressão, qual delas apresentará maior elevação do ponto de ebulição da água?
Provas
Em uma prática experimental, foi realizada a calibração de materiais volumétricos. Assim, um balão volumétrico de 10 mL vazio teve a massa de 10,2644 g, e, quando preenchido com água destilada até a marca de aferição, teve a massa de 20,2144 g, com a temperatura da água a 20°C. Sabendo que o fator de correção para a calibração baseado na massa específica da água destilada é 1,003 mL/g (20°C), assinale a alternativa que apresenta, com três algarismos significativos, o volume real do balão volumétrico.
Provas
Durante a validação de um método por cromatografia líquida acoplada à espectrometria de massas (LC-MS) para a quantificação de acrilamida em amostras de café, foi construída uma curva de calibração relacionando as áreas dos picos às concentrações do padrão. A equação da reta, obtida por regressão linear, para essa curva é:
Área = 305100 x [C] + 550
onde [C]: concentração (μg/L) de acrilamida.
Levando em conta outras espécies, provenientes da etapa de preparo de amostra, que ionizam e contribuem para o sinal analítico, realizou-se a determinação do “branco”. A área medida para o sinal do “branco” foi de 750, e a área média dos picos de acrilamida na amostra de café foi 916800. A partir dessas informações, pode-se afirmar que a concentração de acrilamida na amostra é, aproximadamente, igual a
Provas
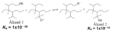
De acordo com a reação em equilíbrio representada a seguir e as características ácidas-básicas dos reagentes e produtos, assinale a alternativa correta.

Dados de constantes de ionização:
Ka (álcool 1) = 1x10−16
Ka (álcool 2) = 1x10−18.
Provas
Em relação à molécula de 2-bromo-3-cloro-butano, analise as assertivas e assinale a alternativa que aponta a(s) correta(s).
I. Possui apenas um estereocentro.
II. Possui o total de dois estereoisômeros.
III. Possui dois pares de enantiômeros.
Provas
Em relação às características gerais e estruturais das proteínas e dos aminoácidos, assinale a alternativa correta.
Provas
Caderno Container