Foram encontradas 45 questões.
Um programa de computador, ao efetuar apenas operações com inteiros, fornecerá para a expressão
((7/4)*4) + (((unsigned int)(-9)/2)*2)
o seguinte resultado:
((7/4)*4) + (((unsigned int)(-9)/2)*2)
o seguinte resultado:
Provas
Questão presente nas seguintes provas

Um periférico é mapeado em 8 endereços de I/O. Seu endereço base, em hexadecimal, decodificado pelo circuito da figura acima no sinal *CSplaca, ativado em nível baixo, é
Provas
Questão presente nas seguintes provas
3261571
Ano: 2024
Disciplina: TI - Organização e Arquitetura dos Computadores
Banca: FGV
Orgão: INPE
Disciplina: TI - Organização e Arquitetura dos Computadores
Banca: FGV
Orgão: INPE
Um processador de 32 bits de barramento de dados se conecta com
bancos de memória segundo o tradicional esquema utilizado na
arquitetura PC.
Portanto, para acessar uma variável de 64 bits localizada a partir de um endereço da forma 4K+1 (resto 1 na divisão por 4), o número de ciclos de barramento consumidos na comunicação é
Portanto, para acessar uma variável de 64 bits localizada a partir de um endereço da forma 4K+1 (resto 1 na divisão por 4), o número de ciclos de barramento consumidos na comunicação é
Provas
Questão presente nas seguintes provas
Parte do código em VHDL a seguir deve ser completada para
descrever um flip-flop JK a partir de um componente de um flip-flop
D.

Assinale a opção que completa corretamente a linha assinalada.

Assinale a opção que completa corretamente a linha assinalada.
Provas
Questão presente nas seguintes provas
3261567
Ano: 2024
Disciplina: TI - Organização e Arquitetura dos Computadores
Banca: FGV
Orgão: INPE
Disciplina: TI - Organização e Arquitetura dos Computadores
Banca: FGV
Orgão: INPE
Considere uma placa FPGA que possui um cristal queimado
localizado próximo ao conector USB de configuração da placa.
O referido cristal precisa ser substituído, mas sua frequência não
está legível.
O mais sensato, em função da sua posição, é substituir o cristal queimado por um cristal, cuja frequência em MHz, é
O mais sensato, em função da sua posição, é substituir o cristal queimado por um cristal, cuja frequência em MHz, é
Provas
Questão presente nas seguintes provas
Um software de desenvolvimento para a configuração de um FPGA
requer um arquivo de restrições, normalmente com extensão UCF.
Assinale a opção que apresenta uma das principais funções desse arquivo.
Assinale a opção que apresenta uma das principais funções desse arquivo.
Provas
Questão presente nas seguintes provas
O diagrama em blocos de uma placa FPGA está mostrado na figura a
seguir.

Fonte: kit SP601 - Xilinx
Como pode nele ser observado, o recurso que não está garantidamente presente na placa é que ela

Fonte: kit SP601 - Xilinx
Como pode nele ser observado, o recurso que não está garantidamente presente na placa é que ela
Provas
Questão presente nas seguintes provas
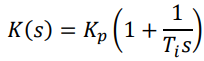
Uma determinada indústria resolveu adicionar a sua planta um
processo que realiza o tratamento térmico de peças metálicas, para
que estas obtenham propriedades mecânicas desejadas. Esse
processo consiste na inserção de uma peça dentro de um forno
elétrico, cuja temperatura é controlada por um controlador do tipo
PI, de função de transferência dada por

Após instalação do sistema, foi executado a função “autoajuste” presente no controlador PI, que estabeleceu um par de valores iniciais para as constantes Kp e Ti do respectivo controlador.
Em seguida, o sistema passou por um teste de validação, que consistiu na execução de um degrau na referência, com intuito de verificar como o sistema seguia a temperatura pré-determinada.
Ao analisar a resposta do sistema, verificou-se que a temperatura do forno possuía tempo de subida adequado, mas com tempo excessivo para eliminação de erro de estado estacionário.
Neste caso, para melhorar a resposta transitória desse sistema, se faz necessário

Após instalação do sistema, foi executado a função “autoajuste” presente no controlador PI, que estabeleceu um par de valores iniciais para as constantes Kp e Ti do respectivo controlador.
Em seguida, o sistema passou por um teste de validação, que consistiu na execução de um degrau na referência, com intuito de verificar como o sistema seguia a temperatura pré-determinada.
Ao analisar a resposta do sistema, verificou-se que a temperatura do forno possuía tempo de subida adequado, mas com tempo excessivo para eliminação de erro de estado estacionário.
Neste caso, para melhorar a resposta transitória desse sistema, se faz necessário
Provas
Questão presente nas seguintes provas
A estrutura de controle do tipo PID é largamente utilizada na
indústria, por ser uma estratégia de controle de relativa simplicidade
e com capacidade de conferir ao sistema importantes requisitos de
desempenho.
Existem diversas técnicas para sintonia dos parâmetros desse tipo de controlador, a qual deve ser escolhida de acordo com as características do sistema como um todo.
Uma destas técnicas é o método
Existem diversas técnicas para sintonia dos parâmetros desse tipo de controlador, a qual deve ser escolhida de acordo com as características do sistema como um todo.
Uma destas técnicas é o método
Provas
Questão presente nas seguintes provas
3261562
Ano: 2024
Disciplina: TI - Organização e Arquitetura dos Computadores
Banca: FGV
Orgão: INPE
Disciplina: TI - Organização e Arquitetura dos Computadores
Banca: FGV
Orgão: INPE
No desenvolvimento de um sistema hipotético, optou-se por usar
uma arquitetura de microprocessador com um maior conjunto de
instruções, a arquitetura CISC.
Com relação a arquitetura RISC, assinale a opção que apresenta uma vantagem apresentada pela CISC.
Com relação a arquitetura RISC, assinale a opção que apresenta uma vantagem apresentada pela CISC.
Provas
Questão presente nas seguintes provas
Cadernos
Caderno Container