Foram encontradas 1.791 questões.

O uso do R410a como refrigerante tem a vantagem de preservar o meio ambiente, pois é um gás ecológico que não agride a camada de ozônio e não contribui para o aquecimento global. Esse tipo de gás é uma mistura (blend) que, em caso de vazamento, permite repor a carga a seu valor original pela adição da quantidade perdida desse gás na composição padrão.
Provas
Questão presente nas seguintes provas

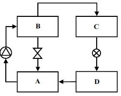
O componente A é o condensador onde ocorre o processo 2-3. O processo é composto de um dessuperaquecimento inicial do vapor superaquecido, sem mudança de fase, até o estado de vapor saturado, ocorrendo, em seguida, uma troca de calor latente com a mudança de fase até o estado de vapor saturado.
Provas
Questão presente nas seguintes provas

O componente C é o evaporador, responsável pelo processo 4-1 no diagrama T-s. Nesse componente ocorre o recebimento de calor latente, associado à mudança de fase da condição de mistura de líquido e vapor para o estado de vapor saturado. Esse calor latente representa o efeito útil do ciclo de refrigeração.
Provas
Questão presente nas seguintes provas

No componente B ocorre a expansão do gás refrigerante, representado no diagrama T-s pelo processo 3-4. Essa expansão pode ser obtida utilizando-se uma válvula termostática que controla a vazão de refrigerante em função do superaquecimento do gás na entrada do compressor.
Provas
Questão presente nas seguintes provas

O fornecimento de calor ocorre no componente C, denominado aquecedor de solução. Nesse aquecedor, liberase o brometo de lítio, que é o fluido refrigerante utilizado. O fluido, então, segue em direção ao componente D, denominado evaporador, onde o efeito de refrigeração é obtido.
Provas
Questão presente nas seguintes provas

O componente A é o absorvedor do ciclo. Nesse local, o vapor d'água produzido pela ebulição no evaporador é absorvido pela solução concentrada de água-brometo de lítio proveniente do gerador, que é o componente B.
Provas
Questão presente nas seguintes provas

Uma máquina de absorção de queima direta é indicada para aplicações de cogeração, em que o calor residual do processo está disponível e pode ser diretamente fornecido ao equipamento de absorção. Já as máquinas de queima indireta utilizam a queima de algum gás combustível em um queimador acoplado ao gerador do ciclo.
Provas
Questão presente nas seguintes provas

Ciclos de refrigeração por absorção apresentam coeficientes de performance (COPs) menores que os dos ciclos de refrigeração por compressão de vapor. Tipicamente, os ciclos de refrigeração por absorção de simples efeito tem COP < 1,00, enquanto os equipamentos comerciais de duplo efeito permitem obter COPs acima desse valor.
Provas
Questão presente nas seguintes provas

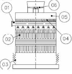
A torre é de tiragem forçada, com escoamento cruzado.
Provas
Questão presente nas seguintes provas

Entre os componentes da torre de resfriamento mostrada na figura são corretamente identificados: o enchimento -04, o ventilador -06 e o eliminador de gotas -03.
Provas
Questão presente nas seguintes provas
Cadernos
Caderno Container