Foram encontradas 625 questões.
Com relação à farmacologia do misoprostol é correto afirmar que uma de suas ações é:
Provas
A Espironolactona, utilizada no tratamento da hipertenção arterial e condições edematosas é:
Provas
Considere que o coeficiente de partição gordura /sangue do Enflurano é 55 e do Halotano 60. Cerca de 60-80% do volume administrado, é recuperado inalterado para ambos os anestésicos. A alternativa que indica o fenômeno que ocorre, é:
Provas
Com relação à serotonina, pode-se afirmar que seus antagonistas são:
Provas
A diminuição da excitabilidade e da força de contração miocárdica são os efeitos principais esperados para:
Provas
O íon Co2+ forma com o íon Cl − (ligante de campo fraco) o íon complexo octaédrico [CoCl 6]4−. A Teoria do Campo Cristalino prevê o seguinte desdobramento dos orbitais d sobre a ação do campo cristalino octaédrico:

Sabendo que a configuração eletrônica do elemento cobalto no estado fundamental é [Ar]4s23d7, a Energia de Estabilização do Campo Cristalino para este complexo, em unidades de Δo, é:
Provas
Os pontos de fusão e de ebulição das aminas são determinados pelas intensidades de suas interações intermoleculares. A tabela a seguir mostra as fórmulas bastão de três aminas com mesmo número de átomos de carbono:

A ordem dos pontos de ebulição dessas aminas é:
Provas
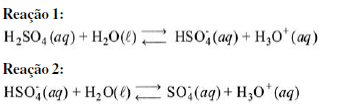
A ionização do H2SO4 em água produz as seguintes reações de equilíbrio:

Segundo a teoria de ácidos e bases de Brönsted-Lowry, as espécies a seguir podem ser definidas como:
Provas
Um dos riscos da utilização do hidrogênio como combustível veicular é sua liberação acidental, pois a reação entre o hidrogênio gasoso e o oxigênio atmosférico é uma reação explosiva:

Provas
A reação de esterificação entre o 1-propanol e o ácido etanóico produz:
Provas
Caderno Container