Foram encontradas 250 questões.
Os diagramas de sequência e os de colaboração, conhecidos como diagramas de interação, são dois dos cinco diagramas utilizados na UML para a modelagem dos aspectos dinâmicos de um sistema. Portanto, pode-se afirmar que os Diagramas
Provas
Considere a hipótese de uma criança precisar de uma transfusão de sangue com urgência, sem a qual ocorrerá risco de vida. Por motivos religiosos, tal autorização é negada pelo pai do menor. É ajuizada demanda por um parente do menor visando à obtenção de tutela jurisdicional capaz de permitir a satisfação do direito à vida. Em razão da demora natural do processo, é requerida pela parte autora a antecipação dos efeitos da tutela, visando à concessão da imediata autorização para que se realize a intervenção médica necessária. Diante de tal hipótese, é correto afirmar que
Provas
Assinale a opção que apresenta a afirmação correta sobre a fase do projeto conceitual, no processo de criação de um banco de dados.
Provas
Disciplina: TI - Organização e Arquitetura dos Computadores
Banca: Marinha
Orgão: Marinha
Dada a função booleana "Q'' abaixo, assinale a opção que apresenta o circuito que a representa corretamente...
Q = A.A + A.B + A.C + B.C
Provas
De acordo com Grogan, em seu livro "A prática do serviço de referência", a sequência lógica das etapas decisórias encadeadas que constituem o processo normal de referência é
Provas
A partir da década de 60, surgem posições de que a escola só se tornaria eficaz se adotasse o modelo empresarial. Assim, surge um modelo de racionalização oriundo do sistema capitalista, baseado na especialização de funções. Portanto, O objetivo de uma escola estruturada a partir de um modelo empresarial é adequar a educação às exigências da sociedade industrial e tecnológica. Identifique no enunciado acima a tendência descrita e, em seguida, assinale a opção correta.
Provas
Leia o código-fonte em Java a seguir e responda a pergunta abaixo.
package esquadra;
class FragataLiberal {
int nomeComandante ;
public int numeroCostado;
protected int velocidade;
private int dotacaoMunicao;
}
Que atributos da classe "FragataLiberal" são acessíveis fora do pacote "esquadra"?
Provas

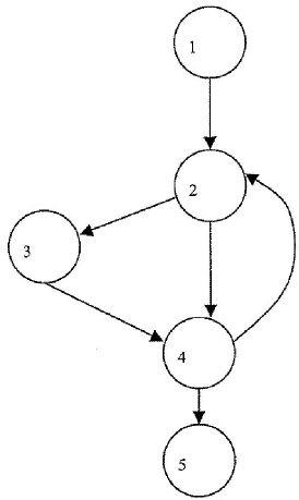
A Complexidade Ciclomática de McCabe, com fundamentação na teoria dos grafos, define uma métrica de software que fornece uma medida quantitativa da complexidade lógica de um programa, fornecendo um limite superior para a quantidade de casos de testes de software que devem ser conduzidos. A Complexidade Ciclomática pode ser calculada tanto pelo número de regiões quanto pelo número de arestas e nós. Examine O grafo de fluxo acima, correspondente a um trecho de código a ser testado, e responda a pergunta abaixo.
Qual é o limite superior para o número de testes que precisam ser executados?
Provas
De acordo com a regra 1.1B9 do Código de Catalogação Anglo- Americano, 2.ed., a forma correta de entrada para o título que aparece no item como "JOURNAL OF BIOSOCIAL SCIENCE. Supplement...! é
Provas
Dentre as classificações filosóficas, a mais importante para os bibliotecários, porque influenciou várias classificações bibliográficas, inclusive a Classificação Decimal de Dewey, &é a do Filósofo inglês Francis Bacon. Quais foram os agrupamentos criados por Bacon para dividir o conhecimento humano?
Provas
Caderno Container