Foram encontradas 60 questões.
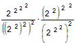
O resultado dessa expressão numérica:

é igual a:

é igual a:
Provas
Questão presente nas seguintes provas
Viagens
Viagens de avião e de metrô podem guardar certa semelhança. Entre nuvens carregadas, ou tendo o azul como horizonte infinito, o passageiro não sente que está em percurso; no interior dos túneis, diante das velozes e uniformes paredes de concreto, o passageiro tampouco sabe da viagem. Em ambos os casos, vai de um ponto a outro como se alguém o levantasse de um lugar para pô-lo em outro, mais adiante.
Nesses casos, praticamente se impõe uma viagem interior. As nuvens, o azul ou o concreto escuro hipnotizam-nos, deixam-nos a sós com nossas imagens e nossos pensamentos, que também sabem mover-se com rapidez. Confesso que gosto desses momentos que, sendo velozes, são, paradoxalmente, de letargia: os olhos abertos veem para dentro, nosso cinema interior se abre para uma profusão de cenas vividas ou de expectativas abertas. Em tais viagens, estamos surpreendentemente sós - uma experiência rara em nossos dias, concordam?
Que ninguém se socorra do celular ou de qualquer engenhoca eletrônica, por favor: que enfrente o vital desafio de um colóquio consigo mesmo, de uma viagem em que somos ao mesmo tempo passageiros e condutores, roteiristas do nosso trajeto, produtores do nosso sentido. Não é pouco: nesses minutos de íntima peregrinação, o único compromisso é o de não resistir à súbita liberdade que nossa imaginação ganhou. Chegando à nossa estação ou ao nosso aeroporto, retomaremos a rotina e nos curvaremos à fatalidade de que as obrigações mundanas rejam o nosso destino. Navegar é preciso, viver não é preciso, diziam os antigos marinheiros. É verdade: há viagens em que o menos importante é chegar.
(Ulisses Rebonato, inédito)
Provas
Questão presente nas seguintes provas
Viagens
Viagens de avião e de metrô podem guardar certa semelhança. Entre nuvens carregadas, ou tendo o azul como horizonte infinito, o passageiro não sente que está em percurso; no interior dos túneis, diante das velozes e uniformes paredes de concreto, o passageiro tampouco sabe da viagem. Em ambos os casos, vai de um ponto a outro como se alguém o levantasse de um lugar para pô-lo em outro, mais adiante.
Nesses casos, praticamente se impõe uma viagem interior. As nuvens, o azul ou o concreto escuro hipnotizam-nos, deixam-nos a sós com nossas imagens e nossos pensamentos, que também sabem mover-se com rapidez. Confesso que gosto desses momentos que, sendo velozes, são, paradoxalmente, de letargia: os olhos abertos veem para dentro, nosso cinema interior se abre para uma profusão de cenas vividas ou de expectativas abertas. Em tais viagens, estamos surpreendentemente sós - uma experiência rara em nossos dias, concordam?
Que ninguém se socorra do celular ou de qualquer engenhoca eletrônica, por favor: que enfrente o vital desafio de um colóquio consigo mesmo, de uma viagem em que somos ao mesmo tempo passageiros e condutores, roteiristas do nosso trajeto, produtores do nosso sentido. Não é pouco: nesses minutos de íntima peregrinação, o único compromisso é o de não resistir à súbita liberdade que nossa imaginação ganhou. Chegando à nossa estação ou ao nosso aeroporto, retomaremos a rotina e nos curvaremos à fatalidade de que as obrigações mundanas rejam o nosso destino. Navegar é preciso, viver não é preciso, diziam os antigos marinheiros. É verdade: há viagens em que o menos importante é chegar.
(Ulisses Rebonato, inédito)
Provas
Questão presente nas seguintes provas
Delicadezas colhidas com mão leve
Era sábado e estávamos os dois na redação vazia da revista. Esparramado na cadeira, Guilherme roía o que lhe restava das unhas, levantava-se, andava de um lado para outro, folheava um jornal velho, suspirava. Aí me veio com esta:
- Meu texto é melhor que eu.
A frase me fez rir, devolveu a alegria a meu amigo e poderia render uma discussão sobre quem era melhor, Guilherme Cunha Pinto ou o texto do Guilherme Cunha Pinto. Os que foram apenas leitores desse jornalista tão especial, morto já faz tempo, não teriam problema em escolher as matérias que ele assinava, que me enchiam de uma inveja benigna.
Inveja, por exemplo, da mão leve com que ele ia buscar e punha em palavras as coisas mais incorpóreas e delicadas. Não era com ele, definitivamente, a simplificação grosseira que o jornalismo tantas vezes se concede, com a desculpa dos espaços e horários curtos, e que acaba fazendo do mundo algo chapado, previsível, sem graça. Guilherme não aceitava ser um mero recolhedor de aspas, nas entrevistas, nem sair à rua para ajustar os fatos a uma pauta. Tinha a capacidade infelizmente rara de se deixar tocar pelas coisas e pessoas sobre as quais ia escrever, sem ideias prontas nem pé atrás. Pois gostava de coisas e de pessoas, e permitia que elas o surpreendessem. Olhava-as com amorosa curiosidade - donde os detalhes que faziam o singular encanto de suas matérias. O personagem mais batido se desdobrava em ângulos inéditos quando o repórter era ele. Com suavidade descia ao fundo da alma de seus entrevistados, sem jamais pendurá-los no pau de arara do jornalismo inquisitorial. Deu forma a textos memoráveis e produziu um título desde então citado e recitado nas redações paulistanas: “Picasso morreu, se é que Picasso morre”.
(Adaptado de: WERNECK Humberto. Esse inferno vai acabar.
Porto Alegre: Arquipélago, 2001. p.45 e 46)
Porto Alegre: Arquipélago, 2001. p.45 e 46)
Provas
Questão presente nas seguintes provas
Viagens
Viagens de avião e de metrô podem guardar certa semelhança. Entre nuvens carregadas, ou tendo o azul como horizonte infinito, o passageiro não sente que está em percurso; no interior dos túneis, diante das velozes e uniformes paredes de concreto, o passageiro tampouco sabe da viagem. Em ambos os casos, vai de um ponto a outro como se alguém o levantasse de um lugar para pô-lo em outro, mais adiante.
Nesses casos, praticamente se impõe uma viagem interior. As nuvens, o azul ou o concreto escuro hipnotizam-nos, deixam-nos a sós com nossas imagens e nossos pensamentos, que também sabem mover-se com rapidez. Confesso que gosto desses momentos que, sendo velozes, são, paradoxalmente, de letargia: os olhos abertos veem para dentro, nosso cinema interior se abre para uma profusão de cenas vividas ou de expectativas abertas. Em tais viagens, estamos surpreendentemente sós - uma experiência rara em nossos dias, concordam?
Que ninguém se socorra do celular ou de qualquer engenhoca eletrônica, por favor: que enfrente o vital desafio de um colóquio consigo mesmo, de uma viagem em que somos ao mesmo tempo passageiros e condutores, roteiristas do nosso trajeto, produtores do nosso sentido. Não é pouco: nesses minutos de íntima peregrinação, o único compromisso é o de não resistir à súbita liberdade que nossa imaginação ganhou. Chegando à nossa estação ou ao nosso aeroporto, retomaremos a rotina e nos curvaremos à fatalidade de que as obrigações mundanas rejam o nosso destino. Navegar é preciso, viver não é preciso, diziam os antigos marinheiros. É verdade: há viagens em que o menos importante é chegar.
(Ulisses Rebonato, inédito)
Provas
Questão presente nas seguintes provas
Delicadezas colhidas com mão leve
Era sábado e estávamos os dois na redação vazia da revista. Esparramado na cadeira, Guilherme roía o que lhe restava das unhas, levantava-se, andava de um lado para outro, folheava um jornal velho, suspirava. Aí me veio com esta:
- Meu texto é melhor que eu.
A frase me fez rir, devolveu a alegria a meu amigo e poderia render uma discussão sobre quem era melhor, Guilherme Cunha Pinto ou o texto do Guilherme Cunha Pinto. Os que foram apenas leitores desse jornalista tão especial, morto já faz tempo, não teriam problema em escolher as matérias que ele assinava, que me enchiam de uma inveja benigna.
Inveja, por exemplo, da mão leve com que ele ia buscar e punha em palavras as coisas mais incorpóreas e delicadas. Não era com ele, definitivamente, a simplificação grosseira que o jornalismo tantas vezes se concede, com a desculpa dos espaços e horários curtos, e que acaba fazendo do mundo algo chapado, previsível, sem graça. Guilherme não aceitava ser um mero recolhedor de aspas, nas entrevistas, nem sair à rua para ajustar os fatos a uma pauta. Tinha a capacidade infelizmente rara de se deixar tocar pelas coisas e pessoas sobre as quais ia escrever, sem ideias prontas nem pé atrás. Pois gostava de coisas e de pessoas, e permitia que elas o surpreendessem. Olhava-as com amorosa curiosidade - donde os detalhes que faziam o singular encanto de suas matérias. O personagem mais batido se desdobrava em ângulos inéditos quando o repórter era ele. Com suavidade descia ao fundo da alma de seus entrevistados, sem jamais pendurá-los no pau de arara do jornalismo inquisitorial. Deu forma a textos memoráveis e produziu um título desde então citado e recitado nas redações paulistanas: “Picasso morreu, se é que Picasso morre”.
(Adaptado de: WERNECK Humberto. Esse inferno vai acabar.
Porto Alegre: Arquipélago, 2001. p.45 e 46)
Porto Alegre: Arquipélago, 2001. p.45 e 46)
Provas
Questão presente nas seguintes provas
Delicadezas colhidas com mão leve
Era sábado e estávamos os dois na redação vazia da revista. Esparramado na cadeira, Guilherme roía o que lhe restava das unhas, levantava-se, andava de um lado para outro, folheava um jornal velho, suspirava. Aí me veio com esta:
- Meu texto é melhor que eu.
A frase me fez rir, devolveu a alegria a meu amigo e poderia render uma discussão sobre quem era melhor, Guilherme Cunha Pinto ou o texto do Guilherme Cunha Pinto. Os que foram apenas leitores desse jornalista tão especial, morto já faz tempo, não teriam problema em escolher as matérias que ele assinava, que me enchiam de uma inveja benigna.
Inveja, por exemplo, da mão leve com que ele ia buscar e punha em palavras as coisas mais incorpóreas e delicadas. Não era com ele, definitivamente, a simplificação grosseira que o jornalismo tantas vezes se concede, com a desculpa dos espaços e horários curtos, e que acaba fazendo do mundo algo chapado, previsível, sem graça. Guilherme não aceitava ser um mero recolhedor de aspas, nas entrevistas, nem sair à rua para ajustar os fatos a uma pauta. Tinha a capacidade infelizmente rara de se deixar tocar pelas coisas e pessoas sobre as quais ia escrever, sem ideias prontas nem pé atrás. Pois gostava de coisas e de pessoas, e permitia que elas o surpreendessem. Olhava-as com amorosa curiosidade - donde os detalhes que faziam o singular encanto de suas matérias. O personagem mais batido se desdobrava em ângulos inéditos quando o repórter era ele. Com suavidade descia ao fundo da alma de seus entrevistados, sem jamais pendurá-los no pau de arara do jornalismo inquisitorial. Deu forma a textos memoráveis e produziu um título desde então citado e recitado nas redações paulistanas: “Picasso morreu, se é que Picasso morre”.
(Adaptado de: WERNECK Humberto. Esse inferno vai acabar.
Porto Alegre: Arquipélago, 2001. p.45 e 46)
Porto Alegre: Arquipélago, 2001. p.45 e 46)
Provas
Questão presente nas seguintes provas
Delicadezas colhidas com mão leve
Era sábado e estávamos os dois na redação vazia da revista. Esparramado na cadeira, Guilherme roía o que lhe restava das unhas, levantava-se, andava de um lado para outro, folheava um jornal velho, suspirava. Aí me veio com esta:
- Meu texto é melhor que eu.
A frase me fez rir, devolveu a alegria a meu amigo e poderia render uma discussão sobre quem era melhor, Guilherme Cunha Pinto ou o texto do Guilherme Cunha Pinto. Os que foram apenas leitores desse jornalista tão especial, morto já faz tempo, não teriam problema em escolher as matérias que ele assinava, que me enchiam de uma inveja benigna.
Inveja, por exemplo, da mão leve com que ele ia buscar e punha em palavras as coisas mais incorpóreas e delicadas. Não era com ele, definitivamente, a simplificação grosseira que o jornalismo tantas vezes se concede, com a desculpa dos espaços e horários curtos, e que acaba fazendo do mundo algo chapado, previsível, sem graça. Guilherme não aceitava ser um mero recolhedor de aspas, nas entrevistas, nem sair à rua para ajustar os fatos a uma pauta. Tinha a capacidade infelizmente rara de se deixar tocar pelas coisas e pessoas sobre as quais ia escrever, sem ideias prontas nem pé atrás. Pois gostava de coisas e de pessoas, e permitia que elas o surpreendessem. Olhava-as com amorosa curiosidade - donde os detalhes que faziam o singular encanto de suas matérias. O personagem mais batido se desdobrava em ângulos inéditos quando o repórter era ele. Com suavidade descia ao fundo da alma de seus entrevistados, sem jamais pendurá-los no pau de arara do jornalismo inquisitorial. Deu forma a textos memoráveis e produziu um título desde então citado e recitado nas redações paulistanas: “Picasso morreu, se é que Picasso morre”.
(Adaptado de: WERNECK Humberto. Esse inferno vai acabar.
Porto Alegre: Arquipélago, 2001. p.45 e 46)
Porto Alegre: Arquipélago, 2001. p.45 e 46)
Provas
Questão presente nas seguintes provas
Delicadezas colhidas com mão leve
Era sábado e estávamos os dois na redação vazia da revista. Esparramado na cadeira, Guilherme roía o que lhe restava das unhas, levantava-se, andava de um lado para outro, folheava um jornal velho, suspirava. Aí me veio com esta:
- Meu texto é melhor que eu.
A frase me fez rir, devolveu a alegria a meu amigo e poderia render uma discussão sobre quem era melhor, Guilherme Cunha Pinto ou o texto do Guilherme Cunha Pinto. Os que foram apenas leitores desse jornalista tão especial, morto já faz tempo, não teriam problema em escolher as matérias que ele assinava, que me enchiam de uma inveja benigna.
Inveja, por exemplo, da mão leve com que ele ia buscar e punha em palavras as coisas mais incorpóreas e delicadas. Não era com ele, definitivamente, a simplificação grosseira que o jornalismo tantas vezes se concede, com a desculpa dos espaços e horários curtos, e que acaba fazendo do mundo algo chapado, previsível, sem graça. Guilherme não aceitava ser um mero recolhedor de aspas, nas entrevistas, nem sair à rua para ajustar os fatos a uma pauta. Tinha a capacidade infelizmente rara de se deixar tocar pelas coisas e pessoas sobre as quais ia escrever, sem ideias prontas nem pé atrás. Pois gostava de coisas e de pessoas, e permitia que elas o surpreendessem. Olhava-as com amorosa curiosidade - donde os detalhes que faziam o singular encanto de suas matérias. O personagem mais batido se desdobrava em ângulos inéditos quando o repórter era ele. Com suavidade descia ao fundo da alma de seus entrevistados, sem jamais pendurá-los no pau de arara do jornalismo inquisitorial. Deu forma a textos memoráveis e produziu um título desde então citado e recitado nas redações paulistanas: “Picasso morreu, se é que Picasso morre”.
(Adaptado de: WERNECK Humberto. Esse inferno vai acabar.
Porto Alegre: Arquipélago, 2001. p.45 e 46)
Porto Alegre: Arquipélago, 2001. p.45 e 46)
Provas
Questão presente nas seguintes provas
Viagens
Viagens de avião e de metrô podem guardar certa semelhança. Entre nuvens carregadas, ou tendo o azul como horizonte infinito, o passageiro não sente que está em percurso; no interior dos túneis, diante das velozes e uniformes paredes de concreto, o passageiro tampouco sabe da viagem. Em ambos os casos, vai de um ponto a outro como se alguém o levantasse de um lugar para pô-lo em outro, mais adiante.
Nesses casos, praticamente se impõe uma viagem interior. As nuvens, o azul ou o concreto escuro hipnotizam-nos, deixam-nos a sós com nossas imagens e nossos pensamentos, que também sabem mover-se com rapidez. Confesso que gosto desses momentos que, sendo velozes, são, paradoxalmente, de letargia: os olhos abertos veem para dentro, nosso cinema interior se abre para uma profusão de cenas vividas ou de expectativas abertas. Em tais viagens, estamos surpreendentemente sós - uma experiência rara em nossos dias, concordam?
Que ninguém se socorra do celular ou de qualquer engenhoca eletrônica, por favor: que enfrente o vital desafio de um colóquio consigo mesmo, de uma viagem em que somos ao mesmo tempo passageiros e condutores, roteiristas do nosso trajeto, produtores do nosso sentido. Não é pouco: nesses minutos de íntima peregrinação, o único compromisso é o de não resistir à súbita liberdade que nossa imaginação ganhou. Chegando à nossa estação ou ao nosso aeroporto, retomaremos a rotina e nos curvaremos à fatalidade de que as obrigações mundanas rejam o nosso destino. Navegar é preciso, viver não é preciso, diziam os antigos marinheiros. É verdade: há viagens em que o menos importante é chegar.
(Ulisses Rebonato, inédito)
I. Numa viagem de metrô, sentimos que o próprio tempo parece acelerar.
II. Ele prefere evitar o metrô, por conta de sua tendência claustrofóbica.
III. Ele optou pelo horário do metrô, que lhe parece mais conveniente.
A supressão da(s) vírgula(s) altera o sentido do que está APENAS em :
Provas
Questão presente nas seguintes provas
Cadernos
Caderno Container