Foram encontradas 2.363 questões.
A série histórica da quantidade mensal de autorizações de procedimentos de alta complexidade em oncologia, em determinado município, no período de novembro de 1998 a fevereiro de 2003, foi descrita por dois pesquisadores por meio de um modelo ARIMA(3,1,0). Considerando que Z t representa a quantidade de autorizações de procedimentos de alta complexidade em oncologia nesse município no mês t, e que o modelo ARIMA(3,1,0) apresentado foi aquele que produz o menor AIC (Akaike's information criterion), julgue os itens subseqüentes.
O ajuste produzido pelo modelo ARIMA (3,1,0) é equivalente ao alisamento exponencial triplo.
Provas
A série histórica da quantidade mensal de autorizações de procedimentos de alta complexidade em oncologia, em determinado município, no período de novembro de 1998 a fevereiro de 2003, foi descrita por dois pesquisadores por meio de um modelo ARIMA(3,1,0). Considerando que Z t representa a quantidade de autorizações de procedimentos de alta complexidade em oncologia nesse município no mês t, e que o modelo ARIMA(3,1,0) apresentado foi aquele que produz o menor AIC (Akaike's information criterion), julgue os itens subseqüentes.
Se o modelo estiver correto, a autocorrelação entre Z t e Z t + k será nula se |k| > 3.
Provas
A série histórica da quantidade mensal de autorizações de procedimentos de alta complexidade em oncologia, em determinado município, no período de novembro de 1998 a fevereiro de 2003, foi descrita por dois pesquisadores por meio de um modelo ARIMA(3,1,0). Considerando que Z t representa a quantidade de autorizações de procedimentos de alta complexidade em oncologia nesse município no mês t, e que o modelo ARIMA(3,1,0) apresentado foi aquele que produz o menor AIC (Akaike's information criterion), julgue os itens subseqüentes.
A série histórica {Zt} não é estacionária.
Provas
Com relação às funções f (x) = sen(2x) e g (x) = cos (2x), em um sistema de coordenadas cartesianas ortogonais xOy, julgue os itens a seguir.
Se h (x) = f (x) × g (x), então a série de Mac Laurin de h só contém potências ímpares de x.
Provas
Com relação às funções f (x) = sen(2x) e g (x) = cos (2x), em um sistema de coordenadas cartesianas ortogonais xOy, julgue os itens a seguir.

Provas
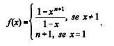
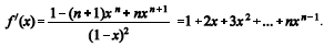
Em um sistema de coordenadas cartesianas ortogonais xOy, considerando a função f : R ÷ R definida por

julgue os itens subseqüentes.
Se x … 1, então
![]()
Provas
Em um sistema de coordenadas cartesianas ortogonais xOy, considerando a função f : R ÷ R definida por

julgue os itens subseqüentes.
A função f é descontínua em x = 1.
Provas

O valor máximo de V é 64
cm 3 .
Provas

A função V = V(x) possui 3 pontos críticos.
Provas

A equação que descreve altura y em função do raio x é uma reta paralela à reta que passa pelos pontos de coordenadas (1, 4) e (2, 2).
Provas
Caderno Container