Foram encontradas 70 questões.
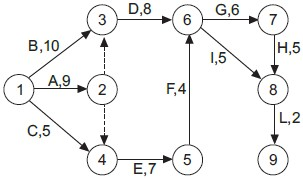
A rede CPM (Critical Path Method), apresentada na figura a seguir, ilustra, hipoteticamente, o planejamento das atividades de projeto de um navio.

Sabendo-se que o tempo de duração das atividades é dado em semanas, a duração do caminho crítico será igual a
Provas
Considere as afirmativas a seguir, relativas a sistemas de combate a incêndio empregados em navios mercantes aos quais se aplicam os regulamentos da convenção SOLAS.
I - Os navios são subdivididos em compartimentos por divisórias térmicas e estruturais, levando-se em consideração os riscos de incêndio nos compartimentos.
II - Bombas de lastro e de serviços gerais podem ser aceitas como bombas de incêndio, desde que não sejam utilizadas para bombear óleo.
III - Sistemas fixos de extinção que utilizam Halon 1211 podem ser empregados no combate a incêndios em praça de máquinas.
Está(ão) correta(s) a(s) afirmativa(s)
Provas
Considere um sistema de propulsão Diesel direto (linha de eixo acoplando-se diretamente ao motor de propulsão) com hélice de passo controlável. Na integração casco-hélice-motor, em vez de uma única curva de potência, há tantas curvas quantos os valores possíveis de passo. A figura abaixo ilustra a integração casco-hélice-motor de um sistema de propulsão com duas razões passo/diâmetro do propulsor (P/D) diferentes.

A intersecção da curva de potência de serviço contínuo do motor (P.S.C.) com as duas curvas de potência requerida pelo conjunto casco-hélice para os passos de operação determinam os pontos de operação A e B. Va e Vb indicam curvas de velocidade constante que contêm A e B, respectivamente. A partir das informações descritas, é correto afirmar que
Provas
Considere as afirmativas a seguir em relação ao ciclo a vapor.
I - O rendimento do Ciclo de Rankine pode ser aumentado pela diminuição da pressão do processo de fornecimento de calor.
II - O Ciclo de Rankine com reaquecimento apresenta como vantagem a diminuição do teor de umidade nos estágios de baixa pressão da turbina.
III - No Ciclo de Rankine com regeneração, parte do vapor, após ser expandido parcialmente na turbina, é extraído para pré-aquecimento da água de alimentação da caldeira.
Está(ão) correta(s), APENAS, a(s) afirmativa(s)
Provas
Em uma feira de novas tecnologias de propulsão naval, um fabricante apresenta uma nova instalação propulsora cuja fonte de energia é ar comprimido de alta pressão. O fabricante afirma que apesar do ar comprimido ocupar muito espaço a bordo e da baixa autonomia do sistema, sua nova tecnologia é ambientalmente “limpa”, sendo necessário apenas conectar uma tomada de ar comprimido na embarcação e “abastecê-la”. O fabricante convincentemente argumenta, ainda, que o único resíduo do processo é o próprio ar atmosférico. Os argumentos do fabricante são plausíveis? Por quê?
Provas
Em relação aos motores de combustão interna de ignição por compressão, assinale a afirmativa INCORRETA.
Provas
Desbalanceamento em máquinas rotativas é uma das causas mais comuns e importantes de vibração nestes tipos de máquinas. Na figura abaixo, apresenta-se um modelo simplificado unidimensional do tipo massa-mola (massa de valor m0 e mola de constante de rigidez k), de
movimento exclusivamente vertical, no qual uma perturbação harmônica é produzida pelo movimento rotativo, de raio r, uma massa m1 que possui rotação de freqüência !$ \omega_t !$ (rad/s).

Considerando !$ \omega^2 !$ = k/m0, a amplitude de deslocamento do sistema, quando submetido à perturbação descrita, é
Provas
Um engenheiro propôs uma nova instalação propulsora que obtém energia na forma de calor (por unidade de tempo), 10.000W, de uma fonte quente a 1.000 K. A instalação propulsora gera 6.000 W, rejeitando calor a uma fonte fria de 500 K. Na reunião de apresentação, o engenheiro foi repreendido, sendo-lhe dito que a sua idéia era inviável. Ele foi repreendido acertadamente? Por quê?
Provas
A figura abaixo apresenta uma barra esbelta e infinitamente rígida (massa, momentos de inércia e deformações desprezíveis) de comprimento L, articulada no suporte vertical (A), e que se encontra fixa ao suporte horizontal (B) por meio de um elemento estrutural flexível (mola) de constante de rigidez k. Na extremidade livre da barra encontra-se fixa uma esfera de massa m cujo respectivo momento de inércia não é significativo. O único grau de liberdade disponível do sistema é a rotação em torno do ponto de articulação da barra.

O valor da freqüência natural do sistema, em Hertz (Hz), para pequenas rotações da barra, é
Provas
O desbalanceamento estático de um componente rotativo significa que a sua massa não é simetricamente distribuída em torno do eixo do seu eixo de rotação. Assinale a descrição correta da relação entre o desbalanceamento estático do propulsor e a respectiva vibração induzida na linha de eixo.
Provas
Caderno Container