Foram encontradas 2.689 questões.
A ingestão de frutos do mar pode causar uma grande variedade de sintomas, dependendo do tipo de toxina presente, de sua concentração e da quantidade do produto consumido. No caso da PSP (Paralytic Shellfish Poisonig) ou intoxicação paralisante por marisco, os efeitos predominantes são neurológicos e consistem de formigamento/dormência de face, braços e pernas, queimação, torpor, sonolência, fala incoerente, ausência de coordenação muscular, sensação de flutuação e paralisia respiratória. A morte pode ocorrer em um período de 2 a 25 horas.
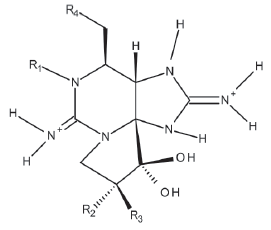
A figura apresenta a estrutura das saxitoxinas ou PSP, onde os substituintes R1, R2 e R3 e R4 podem variar.

Os responsáveis pela síntese dessas substâncias denominadas saxitoxinas são as(os)
Provas
Disciplina: Engenharia Ambiental e Sanitária
Banca: CESGRANRIO
Orgão: Petrobrás
Provas

| Faixa I | Faixa II | Faixa III | Faixa IV | Faixa V | Faixa VI | |
| Shannon | 2,80 | 2,80 | 2,66 | 1,90 | 1,76 | 1,62 |
| Pielou | 0,79 | 0,85 | 0,76 | 0,59 | 0,59 | 0,49 |
Provas
Disciplina: Engenharia Ambiental e Sanitária
Banca: CESGRANRIO
Orgão: Petrobrás
Provas

Provas
Disciplina: Engenharia Ambiental e Sanitária
Banca: CESGRANRIO
Orgão: Petrobrás
Provas
Disciplina: Engenharia Ambiental e Sanitária
Banca: CESGRANRIO
Orgão: Petrobrás

Provas
Disciplina: Engenharia Ambiental e Sanitária
Banca: CESGRANRIO
Orgão: Petrobrás
Provas
Disciplina: Engenharia Ambiental e Sanitária
Banca: CESGRANRIO
Orgão: Petrobrás
| Teor de óleos e graxas (%) |
Taxa de mineralização (CO2/hora) Apenas a microbiota autóctone |
Taxa de mineralização (CO2/hora) com acréscimo de Bacillus |
| 0,33 | 3,00 | 4,65 |
| 1,54 | 1,65 | 3,40 |
| 1,78 | 0,80 | 2,00 |
Provas
| Seção I: Dimensões econômicas e sociais (capítulos de 2 a 8) |
| Seção II: Conservação e gerenciamento de recursos para o desenvolvimento (capítulos de 9 a 22) |
| Seção III: Fortalecimento do papel dos grupos principais (capítulos de 23 a 32) |
| Seção IV: Meios de implementação (capítulos de 33 a 40) |
Provas
Caderno Container