Foram encontradas 1.190 questões.
Seja f uma função real de variável real tal que f(1) = -2 e diferenciável para todo x real com f '(x) ≤ 4.
O valor máximo de f(4) é
Provas
Seja a função periódica F(x), de período L = 5, definida sobre todo o eixo dos reais:
para -5/2 < x < 0: F(x) = -2 ;
para x = 0, F(x) = 0;
para 0 < x < 5/2: F(x) = 2 .
O desenvolvimento em série de Fourier para a função acima é
Provas
Seja a função
, onde b é constante.
Qual é a transformada de Fourier de f(t)?
Dado
![]()
Provas
A equação dessa parábola é
Provas
Considere uma reta r, de equação x + y = k, sendo k uma constante real, e uma circunferência λ, de equação x2 + y2 = 4, ambas representadas em um mesmo sistema de coordenadas retangulares.
O menor valor real do parâmetro k, que faz a reta r intersectar a circunferência λ em apenas um ponto, é igual a
Provas
Em um plano cartesiano, observa-se o deslocamento de uma partícula, sobre uma circunferência centrada na origem (0;0), com velocidade angular constante de π/45 rad/ s . Tal partícula gasta 9 s para se mover do ponto Z para o ponto W, no sentido anti-horário. Considere que o ponto Z tem coordenadas cartesianas (60;25), ambas em m.
Assim, assumindo 0,8 como aproximação para cos 36°, as coordenadas do ponto W, ambas em m, são:
Provas
As funções reais de variáveis reais f e g estão representadas abaixo, no mesmo sistema de eixos cartesianos, sendo 0 e 4 os zeros da função quadrática f, e g uma função linear que intersecta o gráfico de f nos pontos (0,0) e (3, 6). Seja S a região do plano (sombreada) constituída de todos os pontos que estão abaixo do gráfico de f e acima do gráfico de g.

A área da região S corresponde a que fração da área do retângulo de vértices (0, 0), (4, 0), (4, 9) e (0, 9)?
Provas
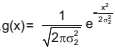
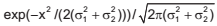
Seja a função
cuja transformada de
Fourier é dada por ![]()
Seja, também,
. A convolução entre f e g é dada por ![]()
Sendo assim, H(x) é igual a
Provas
Provas
Provas
Caderno Container