Foram encontradas 1.190 questões.
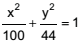
Uma câmara dos sussurros é um espaço em que, se duas pessoas estão nas posições especificadas como foco, elas podem falar entre si, mesmo sussurrando, a uma distância considerável. Isso porque os painéis colocados atrás delas são partes de uma mesma elipse cujos focos são as posições das cabeças das pessoas.
Na câmara de sussurros representada na Figura a seguir, a distância entre as duas pessoas é de 20 m, e a distância de cada pessoa até um vértice da elipse é de 2 m.

A equação da elipse que contém os painéis da câmara representada no sistema de eixos proposto na Figura é
Provas
Um sistema cartesiano de coordenadas (xy) foi disposto sobre um grande terreno plano. Nesse terreno, passam os trilhos da rede ferroviária, que foram modelados pela reta cuja equação é dada por 2x + y = 3. O ponto P(1,3) será utilizado como base de realização de uma importante medição, o que exigirá dos engenheiros a determinação de um ponto, sobre os trilhos, que esteja mais próximo do ponto P.
Qual é o ponto da reta 2x + y = 3 que está mais próximo do ponto P (1,3)?
Provas
Um estudo indicou que a população P(t) de uma determinada espécie, dada em milhares de indivíduos, pode ser modelada pela seguinte função:
![]()
em que t é dado em décadas contadas a partir do início do estudo.
Considerando esse modelo, o valor mais próximo do número de décadas, contadas a partir do início do estudo, necessário para que essa população atinja a metade de sua capacidade de suporte é igual a
Dado
ln 2 = 0,693
Provas
Considere o sistema de equações lineares nas variáveis reais x e y:
no qual k e m são reais.
Sabe-se que existem números reais a e b, com a≠b, tais que os pares ordenados (a,b) e (b,a) são soluções do sistema dado.
Dessa forma, k e m são, necessariamente, tais que
Provas
A área dessa região é igual aProvas
A função logaritmo natural, definida nos complexos, é dita plurívoca, pois, para cada complexo z, LN(z) assume diversos valores complexos. Se, por outro lado, restringem-se os valores dos argumentos de z no intervalo de -π a π, tem-se a função ln(z) chamada logaritmo principal do complexo z, com argumento no intervalo restrito.
Se i é a unidade imaginária, qual o valor de ln(i)?
Provas
O valor de det(3A) . det(2B) é
Provas
Quantos desses numerais representam números múltiplos de 4?
Provas
Seja um vetor
cujas componentes são dadas, em
função de t, por ![]()
O módulo desse vetor, quando está na posição vertical (sobre o eixo das ordenadas) é
Provas
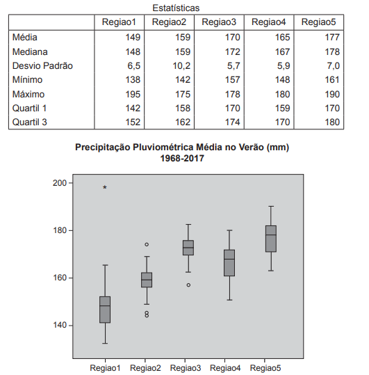
De acordo com os resultados acima, observe as afirmações a seguir.
I - A média das precipitações pluviométricas é uma medida representativa da quantidade de chuva média mensal no verão em cada região, devido à baixa variabilidade das medidas. II - A variação das médias das precipitações dentro de cada região é inferior à variação das médias das precipitações entre as regiões. III - Em pelo menos um ano, a precipitação média no verão ficou abaixo do índice de 1,5 desvio quartílico da distribuição em duas regiões.
Está correto APENAS o que se afirma em
Provas
Caderno Container