Foram encontradas 1.190 questões.
- Química InorgânicaSoluções e Substâncias InorgânicasSoluções: características, tipos de concentração, diluição, mistura, titulação e soluções coloidais
O sal, contido em uma amostra de petróleo, foi extraído em água por meio de uma extração líquido-líquido. A solução aquosa obtida (em que o único sal dissolvido era o NaCℓ) foi diluída para 1000 mL com água, formando a denominada solução de amostra salina. Um volume de 100 mL desta solução foi adicionado a uma célula de um sistema de titulação coulométrica, contendo 500 mL de água, onde se manteve contínua agitação da solução com barra magnética. No anodo de prata da célula, a reação, representada abaixo, ocorre de forma completa por conta da aplicação de uma diferença de potencial.
Ag(s) + Cℓ-(aq) → AgCℓ(s) + e
A carga total envolvida na reação foi calculada a partir do gráfico.

A concentração, em mol L-1 , de cloreto de sódio na solução de amostra salina era
Dado
A carga de 1 mol de elétrons é 96.500 C
Provas
O hidrocarboneto de fórmula C8H8 é usado como padrão na escala de octanagem para as gasolinas. A estrutura desse hidrocarboneto está representada, na forma de bastão, a seguir:

Segundo as regras da IUPAC (União Internacional de Química Pura e Aplicada), a nomenclatura oficial desse alcano é
Provas
- Sistemas de EquilíbrioSistemas Homogêneos: Equilíbrio Iônico: Conceitos, Diluição de Ostwald, Efeito do Íon Comum
O equilíbrio de dissociação da água é mostrado na equação de equilíbrio a seguir:
H2O ⇋ H+ + OH-
A 25°C, a constante de equilíbrio (Kw) é dada por:
Kw = [H+] [OH- ] = 1,0 x 10-14
Ao se misturarem 50 mL de uma solução aquosa do ácido forte HCℓ (0,01 mol L-1 ) com 20 mL de solução aquosa da base forte KOH (0,02 mol L-1 ) e água suficiente para se levar o volume final a 100 mL, o pH da solução resultante, a 25°C, será
Provas
As cromatografias líquida e gasosa são importantes técnicas analíticas que permitem a análise de amostras contendo várias espécies químicas.
Em um cromatograma típico, apresenta-se
Provas
Na espectrometria de absorção atômica com atomização eletrotérmica, o analista controla o aquecimento do atomizador.
Em um programa de aquecimento em etapas e com faixas de temperatura típicas, uma das etapas é a pirólise, cujo objetivo é
Provas
Uma bombona contém 5 L de rejeito químico com uma concentração de 0,2 mol/L de NaOH. O técnico resolveu neutralizar a solução empregando ácido clorídrico (HCl), que estava disponível numa solução aquosa com 8 mol/L.
Qual o volume total de ácido empregado, em L?
Provas
Os átomos de um determinado elemento químico têm a configuração eletrônica:
[configuração de um gás nobre] 3s2 3p1 .
O gás nobre que tem configuração eletrônica igual à configuração indicada entre colchetes é o
Provas
A massa de Mg(OH)2 obtida a partir de uma massa inicial de MgCO3 igual a 2,1 g é
Dados M(Mg) = 24,3 g mol-1 M(C) = 12,0 g mol-1 M(O) = 16,0 g mol-1 M(H) = 1,0 g mol-1
Provas
- Química CinéticaRepresentação das Transformações Químicas
- Química InorgânicaSoluções e Substâncias InorgânicasPropriedades Coligativas: Tonoscopia, Ebulioscopia, Crioscopia e Pressão Osmótica.
Uma solução ideal foi feita misturando 360,00 mL de água e 1 mol de um soluto não volátil, armazenando a mesma a 20°C.
O valor aproximado da pressão de vapor, em mmHg, da mistura é
Dados
Pressão de vapor da água pura: 18 mmHg a 20°C
Massa específica da água pura: 1,00 g mL-1
M (H2O) = 18,00 g mol-1
Provas
- Química OrgânicaReações OrgânicasReações Orgânicas: Substituição, Adição e Eliminação
- Química OrgânicaReações OrgânicasReações Orgânicas: Oxidação, Redução e Polimerização
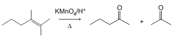
Na equação química abaixo, observa-se a representação da reação do hidrocarboneto insaturado na presença de permanganato de potássio (KMnO4 ), em meio ácido e sob aquecimento, produzindo dois produtos.

A reação do hidrocarboneto é de
Provas
Caderno Container