Foram encontradas 120 questões.

As formas de algumas peças não podem ser medidas diretamente. Essas medições exigem auxílio de peças complementares e controle trigonométrico. A figura acima apresenta uma peça com encaixe do tipo rabo-de-andorinha. Acerca dessa figura e do processo de medição com peças complementares, julgue os itens a seguir.
A partir da figura, é correto afirmar que o comprimento R pode ser expresso pela equação
.
Provas
Para presentear o chefe de departamento de uma empresa por ocasião de seu aniversário, os empregados desse departamento pesquisaram e decidiram comprar um televisor de R$ 480,00, que seriam divididos igualmente entre todos. No momento da cotização, 5 desses empregados argumentaram que se encontravam em dificuldades financeiras e que poderiam pagar apenas a metade da cota inicial de cada um. Dessa forma, coube a cada um dos outros empregados mais R$ 8,00, além da cota inicial.
Com referência à situação hipotética apresentada, e representando por x a quantidade de empregados desse departamento, julgue os próximos itens.
Considere que a relação entre x e o valor do televisor possa ser descrita por uma equação do segundo grau da forma Ax² + Bx + C = 0, em que A, B e C sejam constantes reais e A < 0. Nesse caso, o ponto de máximo da função f (x) = Ax² + Bx + C será atingido quando ![]()
Provas
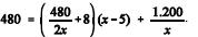
Para presentear o chefe de departamento de uma empresa por ocasião de seu aniversário, os empregados desse departamento pesquisaram e decidiram comprar um televisor de R$ 480,00, que seriam divididos igualmente entre todos. No momento da cotização, 5 desses empregados argumentaram que se encontravam em dificuldades financeiras e que poderiam pagar apenas a metade da cota inicial de cada um. Dessa forma, coube a cada um dos outros empregados mais R$ 8,00, além da cota inicial.
Com referência à situação hipotética apresentada, e representando por x a quantidade de empregados desse departamento, julgue os próximos itens.
A relação entre x e o valor do televisor pode ser expressa pela seguinte equação: ![]()
Provas
Com relação a álgebra e trigonometria, julgue o seguinte item.
A soma das soluções da equação !$ sen^2x-sen \, x + \dfrac{1}{4}=0 !$ no intervalo [0, !$ \pi !$] é igual a!$ \pi !$.
Provas
Considere que a produção de óleo cru, em milhares de barris por dia, de uma bacia petrolífera possa ser descrita por uma função da forma Q(t) = Ae-kt , em que A e k são constantes positivas, t é o tempo, em anos, a partir do ano t = 0, que corresponde ao ano de maior produtividade da bacia. Com base nessas informações, julgue os itens a seguir.
Considere que a maior produtividade da bacia tenha sido de 1.200.000 barris de óleo cru por dia e, 10 anos depois, a produtividade caiu para 800.000 barris por dia. Nessa situação, depois de 20 anos, a produção caiu para menos de 500.000 barris por dia.
Provas
Considerando a função polinomial quadrática !$ f(x)=y=-x^2-2x+15 !$ no sistema de coordenadas xOy, julgue o item subseqüente.
Considere o triângulo isósceles que tem a base sobre o eixo Ox, e os vértices estão sobre o gráfico da função f. Nesse caso, o volume do cone obtido ao se girar a região triangular, de 360º, em torno da reta x = !1 é superior a 256 unidades de volume
Provas
Com relação a álgebra e trigonometria, julgue o seguinte item.
Considerando que !$ \alpha !$ e !$ \beta !$ sejam os ângulos agudos internos de um triângulo retângulo e que cos !$ \beta = \dfrac{\sqrt{5}}{7} !$, então !$ tan\, \alpha = 2\sqrt{\dfrac{11}{5}} !$.
Provas
Com relação a álgebra e trigonometria, julgue o seguinte item.
Em um retângulo ABCD, considere que o comprimento de AB seja igual ao triplo de BC, que P seja o ponto médio de CD e que !$ \theta !$ seja o ângulo !$ \hat{APB} !$. Nesse caso, !$ tan\, \theta = - \dfrac{12}{5} !$.
Provas
Com relação a álgebra e trigonometria, julgue os seguintes itens
No triângulo a seguir, AC = CD e BD = 3BC.

Provas
Com relação a álgebra e trigonometria, julgue o seguinte item.
Se !$ \alpha !$ e !$ \beta !$ são os ângulos agudos internos de um triângulo retângulo, então tan !$ \alpha \times !$ tan !$ \beta !$ = 1.
Provas
Caderno Container