Foram encontradas 820 questões.
O raio de drenagem, R, é o raio de um círculo de área A de drenagem de um poço. Em um estudo estatístico, a média aritmética e o desvio-padrão amostral dos raios de drenagem de uma amostra aleatória de 10 poços foram, respectivamente, iguais a 200 metros e 50 metros. Com relação a essa situação, considerando-se que a área de drenagem de um poço seja dada por
, então a média aritmética das áreas de drenagem dos poços observados no estudo em questão será igual a
Provas
Disciplina: Matemática Financeira
Banca: CESPE / CEBRASPE
Orgão: Petrobrás
Um capital C aplicado a juro composto durante T meses, à taxa mesal igual a i%, produz um montante M, que é o valor acumulado ao final da aplicação. Esses valores estão relacionados pela fórmula
. Suponha que um capital inicial de R$ 10.000,00 tenha sido aplicado à taxa de juro composto de 5% ao mês e que o montante obtido no final do período tenha sido de R$ 15.000,00. Considerando log 1,05 = 0,02 e log 1,5 = 0,18, conclui-se que o tempo de aplicação foi de
Provas

Provas
No sistema de coordenadas cartesianas ortogonais, uma partícula executa um movimento circular uniforme cuja trajetória tem como diâmetro o segmento que une os pontos P = (1, 2) e Q = (2, -1). A equação cartesiana que descreve esse movimento é
Provas
Considerando que A seja a matriz formada pelos coeficientes do sistema
, assinale a opção correta.
Provas
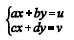
Seja S o sistema de duas equações lineares a duas incógnitas, x e y, indicado abaixo, em que a, b, c e d são constantes reais nãonulas e u e v são números reais.
![]()
Acerca de S, assinale a opção correta.
Provas
Considerando que a.b representa o produto interno usual entre os vetores a e b, assinale a opção correta.
Provas

Provas

Provas

Considerando a seção sísmica apresentada na figura acima, extraída de Catuneanu (2006), que representa a expressão de uma superfície de inundação máxima [linha tracejada (5)] em um domínio costeiro a marinho-raso, julgue os itens subseqüentes.
I Os refletores do intervalo 4 podem representar depósitos de vale inciso.
II As terminações indicadas em 1 e em 2 correspondem, respectivamente, a truncamento erosivo e downlap.
III A seta inclinada 3 pode representar um preenchimento progradacional associado a um delta de mar alto.
IV Na concepção da escola Exxon, os refletores do intervalo 4 e do intervalo 6 representariam, respectivamente, os tratos de sistemas transgressivo e de mar alto.
V As terminações indicadas em 1 correspondem a uma feição de toplap associada a clinoformas progradantes.
Assinale a opção correta.
Provas
Caderno Container