Foram encontradas 2.450 questões.
O esquema abaixo representa um sistema de controle.

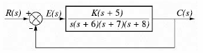
O sistema de controle aplicado à planta resulta em uma função de transferência em malha fechada de quinta ordem.
Provas
O esquema abaixo representa um sistema de controle.

O modelo do sistema apresentado no diagrama de blocos é não-linear.
Provas
O esquema abaixo representa um sistema de controle.

Todos os pólos do sistema são estáveis, caracterizando-o como absolutamente estável. A realimentação apenas ajusta a estabilidade relativa.
Provas
O esquema abaixo representa um sistema de controle.

O sistema apresenta uma realimentação unitária e negativa.
Provas
A respeito de controle automático, julgue os itens subseqüentes.
A figura I, abaixo, representa um esquema de controle com realimentação positiva, enquanto a figura II representa a realimentação negativa.

Provas
A respeito de controle automático, julgue os itens subseqüentes.
A implementação de um sistema de controle em malha aberta utiliza princípios de feedback na sua execução e apresenta em geral custo bastante reduzido em comparação com os sistemas de malha fechada.
Provas

As microestruturas das ligas metálicas podem ser controladas e modificadas por processos termo/químico/mecânicos, resultando em alteração substancial das propriedades mecânicas da liga. Considerando o diagrama Fe-C mostrado acima, julgue os itens que se seguem.
O máximo de ductilidade nos aços pode ser alcançado com o tratamento térmico de recozimento denominado coalescimento ou esferoidização. Nesse tratamento, que é essencialmente um recozimento subcrítico estendido, o material permanece um longo período de tempo a uma temperatura logo abaixo da temperatura eutetóide e depois é resfriado lentamente para permitir a formação de carbetos sob forma esferoidal.
Provas

As microestruturas das ligas metálicas podem ser controladas e modificadas por processos termo/químico/mecânicos, resultando em alteração substancial das propriedades mecânicas da liga. Considerando o diagrama Fe-C mostrado acima, julgue os itens que se seguem.
A nitretação é um tratamento termoquímico em que se promove enriquecimento superficial com nitrogênio. É o tratamento utilizado para peças que necessitam de alta resistência à fadiga superficial, como no caso de engrenagens.
Provas

As microestruturas das ligas metálicas podem ser controladas e modificadas por processos termo/químico/mecânicos, resultando em alteração substancial das propriedades mecânicas da liga. Considerando o diagrama Fe-C mostrado acima, julgue os itens que se seguem.
Os chamados aços microligados ou aços de baixa liga e alta resistência (HSLA) são aços estruturais cuja resistência, maior que a dos aços-carbono comuns, é devida à adição de pequenas quantidades de elementos de liga, em vez de tratamentos térmicos. Apresentam as vantagens de serem dúcteis, conformáveis, soldáveis sem necessidade de preocupações especiais e têm boa resistência à corrosão.
Provas

As microestruturas das ligas metálicas podem ser controladas e modificadas por processos termo/químico/mecânicos, resultando em alteração substancial das propriedades mecânicas da liga. Considerando o diagrama Fe-C mostrado acima, julgue os itens que se seguem.
A perlita é uma mistura lamelar de ferrita e cementita com composição eutética, formada a partir da transformação da austenita.
Provas
Caderno Container