Foram encontradas 2.450 questões.

Ainda considerando o texto I e a estrutura de alguns fármacos mostrados na figura acima, julgue os seguintes itens.
A anfetamina é um exemplo de amina secundária.
Provas

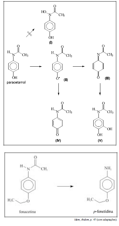
Os esquemas acima ilustram o metabolismo parcial de duas drogas: o paracetamol e a fenacetina. O estudo do metabolismo de um fármaco é importante, pois o conhecimento das possíveis substâncias formadas nas etapas de biotransformação fornece idéia dos possíveis efeitos colaterais e das substâncias a eles associadas, bem como dos virtuais marcadores moleculares da presença dessa droga no organismo.
No contexto do texto I, considerando as informações e os esquemas acima, julgue os itens a seguir.
A reação entre a p-fenetidina e o anidrido acético produz a fenacetina.
Provas

Os esquemas acima ilustram o metabolismo parcial de duas drogas: o paracetamol e a fenacetina. O estudo do metabolismo de um fármaco é importante, pois o conhecimento das possíveis substâncias formadas nas etapas de biotransformação fornece idéia dos possíveis efeitos colaterais e das substâncias a eles associadas, bem como dos virtuais marcadores moleculares da presença dessa droga no organismo.
No contexto do texto I, considerando as informações e os esquemas acima, julgue os itens a seguir.
Todos os substituintes ligados ao anel da fenacetina e da p-fenetidina são considerados orientadores orto/para em reações de substituição eletrofílica aromática.
Provas

Os esquemas acima ilustram o metabolismo parcial de duas drogas: o paracetamol e a fenacetina. O estudo do metabolismo de um fármaco é importante, pois o conhecimento das possíveis substâncias formadas nas etapas de biotransformação fornece idéia dos possíveis efeitos colaterais e das substâncias a eles associadas, bem como dos virtuais marcadores moleculares da presença dessa droga no organismo.
No contexto do texto I, considerando as informações e os esquemas acima, julgue os itens a seguir.
A fenacetina é mais básica que a p-fenetidina.
Provas

Os esquemas acima ilustram o metabolismo parcial de duas drogas: o paracetamol e a fenacetina. O estudo do metabolismo de um fármaco é importante, pois o conhecimento das possíveis substâncias formadas nas etapas de biotransformação fornece idéia dos possíveis efeitos colaterais e das substâncias a eles associadas, bem como dos virtuais marcadores moleculares da presença dessa droga no organismo.
No contexto do texto I, considerando as informações e os esquemas acima, julgue os itens a seguir.
Na rota metabólica do paracetamol, a aromaticidade do sistema inicial é mantida em todas as fases apresentadas.
Provas
- Química InorgânicaSoluções e Substâncias InorgânicasSubstâncias Inorgânicas: dissociação iônica e ionização, conceitos de ácido-base

Os esquemas acima ilustram o metabolismo parcial de duas drogas: o paracetamol e a fenacetina. O estudo do metabolismo de um fármaco é importante, pois o conhecimento das possíveis substâncias formadas nas etapas de biotransformação fornece idéia dos possíveis efeitos colaterais e das substâncias a eles associadas, bem como dos virtuais marcadores moleculares da presença dessa droga no organismo.
No contexto do texto I, considerando as informações e os esquemas acima, julgue os itens a seguir.
O paracetamol é mais ácido que o composto V.
Provas

Os esquemas acima ilustram o metabolismo parcial de duas drogas: o paracetamol e a fenacetina. O estudo do metabolismo de um fármaco é importante, pois o conhecimento das possíveis substâncias formadas nas etapas de biotransformação fornece idéia dos possíveis efeitos colaterais e das substâncias a eles associadas, bem como dos virtuais marcadores moleculares da presença dessa droga no organismo.
No contexto do texto I, considerando as informações e os esquemas acima, julgue os itens a seguir.
Entre todos os compostos apresentados em ambos os esquemas, apenas o composto III não forma ligações de hidrogênio intermoleculares entre suas moléculas.
Provas

O esquema acima mostra a fórmula estrutural da acetilcolina e dois tipos de representação de seus isômeros conformacionais, cujo metabolismo conduz à formação de substâncias distintas, que são ligantes específicos de receptores muscarínicos e nicotínicos. Considerando as informações do texto I e o esquema acima, julgue os itens que se seguem.
Na estrutura da muscarina, existem somente três átomos de carbono quiral.
Provas

O esquema acima mostra a fórmula estrutural da acetilcolina e dois tipos de representação de seus isômeros conformacionais, cujo metabolismo conduz à formação de substâncias distintas, que são ligantes específicos de receptores muscarínicos e nicotínicos. Considerando as informações do texto I e o esquema acima, julgue os itens que se seguem.

Provas

O esquema acima mostra a fórmula estrutural da acetilcolina e dois tipos de representação de seus isômeros conformacionais, cujo metabolismo conduz à formação de substâncias distintas, que são ligantes específicos de receptores muscarínicos e nicotínicos. Considerando as informações do texto I e o esquema acima, julgue os itens que se seguem.
O confôrmero antiperiplanar é mais estável que o sinclinal.
Provas
Caderno Container