Foram encontradas 40 questões.
Acerca de restrições e modelo relacional e esquemas de bancos de dados relacionais, marque a afirmativa correta.
Provas
Disciplina: TI - Desenvolvimento de Sistemas
Banca: UFMT
Orgão: Pref. Cáceres-MT
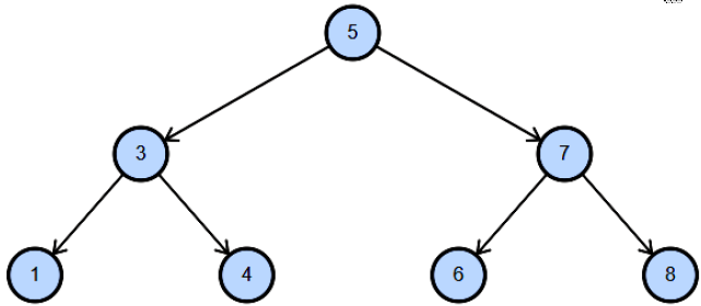
A figura abaixo representa uma árvore binária.

Assinale a alternativa que apresenta o percurso em pós-ordem dessa árvore.
Provas
- Banco de Dados RelacionalRestrições de IntegridadeIntegridade Referencial
- Banco de Dados RelacionalTipos de ChavesChave Candidata
- Banco de Dados RelacionalTipos de ChavesChave Primária
Sobre SQL e conceitos relativos a banco de dados, marque V para as afirmativas verdadeiras e F para as falsas.
( ) A restrição NOT NULL pode ser utilizada se o valor NULL não for permitido para determinado atributo.
( ) A integridade referencial é especificada pela cláusula PRIMARY KEY.
( ) A cláusula UNIQUE especifica chaves alternativas.
Assinale a sequência correta.
Provas
A Lei Complementar nº 120/2017, que dispõe sobre a instituição do Plano de Cargos, Carreira e Vencimento dos Servidores Públicos da Câmara Municipal de Cáceres/MT, prescreve que a progressão vertical corresponde à evolução na carreira do servidor avaliado como apto ao serviço público e em condições de progressão, e está condicionada à
Provas
A figura abaixo apresenta uma tabela inserida em um documento do Microsoft Word 2010 com a primeira linha selecionada.

Sobre a figura, analise as assertivas.
I - A barra de Ferramentas de Tabela chamada Layout, exibida na figura, só pode ser visualizada quando a tabela (ou parte dela) está selecionada ou se pelo menos alguma célula da tabela estiver ativada.
II - A primeira linha da tabela, que está selecionada, foi transformada em uma única célula. Tal efeito pode ser aplicado com a utilização do comando chamado Dividir Células.
III - Ao se clicar no comando Dividir Tabela, com a terceira linha da tabela selecionada, a tabela será dividida em duas e a linha selecionada será a primeira linha da nova tabela.
IV - Todas as células da tabela apresentam altura de 0,5 cm e largura de 14 cm.
Estão corretas as assertivas
Provas
De acordo com as disposições preliminares do Regimento Interno da Câmara Municipal de Cáceres/MT (Resolução nº 10, de 20/12/2004 atualizada até a Resolução nº 01, de 26/03/2018), complete as assertivas relacionadas com funções exercidas pelo Poder Legislativo Municipal.
I- A função ______________________ é exercida pelos atos de posse dos vereadores, do prefeito e do viceprefeito, pela extinção de seus mandatos, pela convocação de suplentes e pela comunicação à Justiça Eleitoral das vagas a serem preenchidas.
II- A função ______________________é exercida pela apreciação do parecer prévio emitido pelo Tribunal de Contas do Estado sobre as contas que o prefeito municipal deve prestar anualmente.
III- A função _______________________ é restrita à sua organização interna, aos seus recursos humanos e materiais e aos seus serviços auxiliares.
IV- A função ______________________ é exercida pela cooperação das associações e entidades representativas na elaboração das leis municipais.
Assinale a alternativa que completa correta e respectivamente as lacunas.
Provas

A que pode ser atribuído o sangue a sair do lápis em se tratando de um texto a comemorar a liberdade de expressão?
Provas
Disciplina: TI - Desenvolvimento de Sistemas
Banca: UFMT
Orgão: Pref. Cáceres-MT
Sobre os conceitos de programação orientada a objetos, assinale a alternativa que apresenta corretamente elementos presentes na assinatura de um método.
Provas
Nos termos da Lei Orgânica Municipal de Cáceres/MT, compete privativamente ao Município:
Provas
Disciplina: TI - Sistemas Operacionais
Banca: UFMT
Orgão: Pref. Cáceres-MT
- Fundamentos de Sistemas OperacionaisSistemas Multiusuário/Multiprogramáveis
- Gerenciamento de ProcessosEscalonamento de Processos
- Gerenciamento de ProcessosTroca de Contexto
Um processo é uma instância de um programa em execução, conceitualmente, cada processo tem sua própria CPU virtual, porém, na prática, a CPU real troca a todo momento de processo, executando-os de forma paralela ou pseudo-paralela. Esse mecanismo é chamado de
Provas
Caderno Container