Foram encontradas 155 questões.
Considere uma carga trifásica equilibrada, com potência
de 198 kVA, alimentada através de uma instalação com
tensão nominal 380/220 V. A carga apresenta fator de
potência igual a 0,90. Para o tipo de instalação adotado, sabe-se que o fator de agrupamento desse circuito
é igual a 0,80 e o fator de correção de temperatura é
igual a 0,87. Para essa condição de operação, determine a menor capacidade de condução de corrente para o
condutor adotado.
Provas
Questão presente nas seguintes provas
Um motor de indução trifásico de 4 polos, 60 Hz, é empregado para acionar uma máquina, operando a 360 RPM, que
representa uma carga mecânica de conjugado resistente, constante e igual a 250 N∙m. O acoplamento entre o motor e a
máquina acionada é realizado por meio de polias e correias em V. O volante acoplado na máquina tem diâmetro nominal de
500 mm. O motor de indução possui 12 terminais, possibilitando conexões nas tensões de 220/380/440/760 V e a tensão
de linha da instalação é de 380 V. Considerando esses dados, desprezando o escorregamento do motor de indução e as
perdas no acoplamento, determine a potência aproximada do motor e necessária ao acionamento adequado da máquina,
o diâmetro da polia a ser instalada no motor de indução e o tipo de acionamento adequado à partida desse motor.
Provas
Questão presente nas seguintes provas
Acompanhando as precipitações chuvosas em 10 dias, observou-se que foram registrados 10 mm, em 5 dias, 8 mm, em 3 dias, e 13 mm, em 2 dias. Calculando-se a média e identificando a mediana e a moda, a soma dessas três medidas de tendência central é
Provas
Questão presente nas seguintes provas
Uma área de loteamento com 200 ha apresenta uma altura pluviométrica de 60 mm para retorno de 25 anos e duração (tempo de concentração) de 30 minutos. Considerando que o coeficiente de escoamento superficial é de 0,3, a vazão máxima, em m3 /s, para essa recorrência é
Provas
Questão presente nas seguintes provas
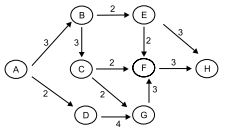
Ao planejar e programar um serviço de engenharia, construiu-se o diagrama da figura representando os eventos por letras nos círculos, e a duração das atividades em semanas entre os eventos junto das setas.

O tempo mínimo para execução desse serviço de engenharia é de
Provas
Questão presente nas seguintes provas
No sensoriamento remoto para captação de informações sobre a superfície terrestre, obteve-se uma fotografia aérea em que um trecho retilíneo de uma avenida que mede 3,0 km aparece medindo 6 cm. Se na mesma fotografia, uma área de um loteamento aparece com 8 cm2 , então a área da superfície do loteamento é
Provas
Questão presente nas seguintes provas
- Engenharia de TráfegoEstradas
- Geotecnia
- Projeto e Execução de Rodovias e FerroviasPavimentação
- SolosMecânica dos Solos
Na execução de sub-base e base estabilizadas granulometricamente com agregado siderúrgico para pavimentação rodoviária, quando houver necessidade de executar uma camada de espessura final superior a 20 cm, esta deve ser subdividida em camadas parciais. A espessura mínima de qualquer camada, após a compactação, deverá ser de
Provas
Questão presente nas seguintes provas
- Edificações
- Gerenciamento, Planejamento e Controle de Obras
- Materiais de Construção Civil
- Métodos Construtivos
- Orçamento no Planejamento e Controle de Obras na Engenharia Civil
O serviço “Fornecimento, preparo e colocação nas formas de aço CA 50”, que é medido por quilo colocado de aço CA-50, tem na composição do custo unitário o consumo de 0,02h de encarregado de turma (R$ 25,00/h), 0,10h de armador (R$ 15,00/h), 0,15h de servente (R$ 8,00/h), 0,1 kg de arame recozido nº 18 (R$ 10,00/kg) e 1,0 kg de aço CA-50 (R$ 7,00/kg). Conclui-se que
Provas
Questão presente nas seguintes provas
- Hidráulica e HidrologiaHidráulica na Engenharia Civil
- Instalações em Engenharia CivilInstalações Hidrosanitárias
No dimensionamento hidráulico de um projeto de redes coletoras de esgoto, não havendo dados pesquisados e comprovados, com validade estatística, recomenda-se em qualquer trecho como o menor valor de vazão
Provas
Questão presente nas seguintes provas
No Empreendimento Habitacional de Interesse Social (EHIS-COHAB), para unidades acabadas unifamiliares em terrenos sem desnível acentuado no Município de Campinas, a área permeável mínima é de 10% da área do terreno e a área máxima de construção é igual a
Provas
Questão presente nas seguintes provas
Cadernos
Caderno Container