Foram encontradas 228 questões.
Assistência às crianças em terapia intravenosa requer ações específicas dos profissionais, para atender às peculiaridades que as diferem da população adulta.
Assinale a afirmativa INCORRETA:
Provas
Os enfermeiros devem ser capazes de identificar pacientes com sinais e sintomas de desequilíbrio eletrolítico e ácido básico, para que ocorra uma intervenção precoce da equipe multidisciplinar, visando minimizar as complicações mais graves.
Em relação ao texto supracitado, assinale a afirmativa INCORRETA:
Provas
Em relação à maneira correta de se empregar um anestésico tópico, analise as afirmativas abaixo, marque V para verdadeiro e F para falso.
Provas
Disciplina: Direito Constitucional
Banca: REIS & REIS
Orgão: Pref. Cascalho Rico-MG
Segundo a Constituição Federal de 1988, ao sistema único de saúde compete, além de outras atribuições, nos termos da lei:
I – Decrementar, em sua área de atuação, o desenvolvimento científico e tecnológico e a inovação;
II – Executar as ações de vigilância sanitária e epidemiológica, bem como as de saúde do trabalhador;
III – Fiscalizar e inspecionar alimentos, compreendido o controle de seu teor nutricional, bem como bebidas e águas para consumo humano;
IV - Colaborar na proteção do meio ambiente, nele compreendido o do trabalho.
Marque a alternativa correta:
Provas
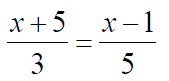
Calcule o valor de X na proporção:

Provas
Marque V para as assertivas verdadeiras e F para as falsas para o aplicativo MS Excel:
Provas
Assinale a alternativa em que a pontuação está incorreta, de acordo com as regras da norma culta da língua:
Provas
Assinale a alternativa que completa corretamente as lacunas do texto, na ordem em que aparecem:
Provas
Caderno Container