Magna Concursos

Foram encontradas 231 questões.

116383 Ano: 2016
Disciplina: Raciocínio Lógico
Banca: REIS & REIS
Orgão: Pref. Cipotânea-MG
Provas:

Considerando que:

A U B = {a, b, c, d, e, f, g, h},

A ∩ B = {d, e}

e

A – B = {a, b, c}

determine o conjunto B:


 

Provas

Questão presente nas seguintes provas
116381 Ano: 2016
Disciplina: Biologia
Banca: REIS & REIS
Orgão: Pref. Cipotânea-MG
São exemplos de seres vivos eucariontes, exceto:
 

Provas

Questão presente nas seguintes provas
116379 Ano: 2016
Disciplina: Legislação Municipal
Banca: REIS & REIS
Orgão: Pref. Cipotânea-MG
Provas:
De acordo com o Estatuto dos Servidores Públicos do Município de Cipotânea, “a ............................. é a aceitação formal, pelo nomeado, das atribuições, dos deveres, das responsabilidades e dos direitos inerentes ao cargo público ou a função pública para o qual foi nomeado.”
Marque a alternativa que completa corretamente o enunciado acima:
 

Provas

Questão presente nas seguintes provas
116378 Ano: 2016
Disciplina: Legislação Municipal
Banca: REIS & REIS
Orgão: Pref. Cipotânea-MG
Provas:
De acordo com o art. 2º da Lei Orgânica de Cipotânea são objetivos prioritários do Município, exceto:
 

Provas

Questão presente nas seguintes provas
116377 Ano: 2016
Disciplina: Matemática
Banca: REIS & REIS
Orgão: Pref. Cipotânea-MG
Provas:

Calcule o perímetro de uma quadra de basquete de 28m de comprimento e 15m de largura:

enunciado 116377-1

 

Provas

Questão presente nas seguintes provas
116376 Ano: 2016
Disciplina: Matemática
Banca: REIS & REIS
Orgão: Pref. Cipotânea-MG
Provas:

Em uma lanchonete tem a seguinte promoção.

enunciado 116376-1

Resolvemos comprar para o lanche da empresa 150 unidades dessa promoção. Pagamos ao todo o valor de:

 

Provas

Questão presente nas seguintes provas
116375 Ano: 2016
Disciplina: Matemática
Banca: REIS & REIS
Orgão: Pref. Cipotânea-MG
Provas:

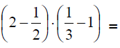
Calcule:

enunciado 116375-1

 

Provas

Questão presente nas seguintes provas
116374 Ano: 2016
Disciplina: Matemática
Banca: REIS & REIS
Orgão: Pref. Cipotânea-MG
Provas:
Dado o conjunto a seguir, determine qual afirmativa abaixo está incorreta: A = { xenunciado 116374-1 / -3 < x ≤ 7}
 

Provas

Questão presente nas seguintes provas
116373 Ano: 2016
Disciplina: Matemática
Banca: REIS & REIS
Orgão: Pref. Cipotânea-MG
Provas:

A solução do sistema linear abaixo é:

enunciado 116373-1

 

Provas

Questão presente nas seguintes provas
116372 Ano: 2016
Disciplina: Matemática
Banca: REIS & REIS
Orgão: Pref. Cipotânea-MG
Provas:
O valor da expressão abaixo é: enunciado 116372-1
 

Provas

Questão presente nas seguintes provas