Foram encontradas 1.710 questões.
Disciplina: Pedagogia
Banca: GUALIMP
Orgão: Pref. Comendador Levy Gasparian-RJ
No contexto do ensino de Ciências do Ensino Fundamental, a Base Nacional Comum Curricular (BNCC) - Componente Curricular: Ciências, o Professor poderá desenvolver com os alunos do nono ano do Ensino Fundamental a seguinte habilidade: Descrever a composição e a estrutura do Sistema Solar (Sol, planetas rochosos, planetas gigantes gasosos e corpos menores), assim como a localização do Sistema Solar na nossa Galáxia (a Via Láctea) e dela no Universo (apenas uma galáxia dentre bilhões). Para tanto, o Professor deverá selecionar a seguinte unidade temática:
Provas
Disciplina: Biologia
Banca: GUALIMP
Orgão: Pref. Comendador Levy Gasparian-RJ
Para desenvolver temáticas de Ciências Naturais, com os alunos do Ensino Fundamental, o Professor poderá apresentar a seguinte definição:
“Organela presente em células eucarióticas; consiste de vesículas, túbulos e sacos achatados. Funciona na coleção e na aglomeração de substâncias fabricadas pela célula.”
No contexto das Ciências Naturais, o fragmento acima conceitua:
Provas
Disciplina: Biologia
Banca: GUALIMP
Orgão: Pref. Comendador Levy Gasparian-RJ
No contexto da anatomia humana, a ação de rotação com tórax girando para o lado oposto e Flexão do tronco e aumento da pressão intra-abdominal pode ser corretamente atribuída ao seguinte músculo:
Provas
Disciplina: Química
Banca: GUALIMP
Orgão: Pref. Comendador Levy Gasparian-RJ
No contexto das funções inorgânicas o Ácido fosfórico, cuja formula é (H3PO4), pode ser considerado como:
Provas
Disciplina: Direito Educacional e Tecnológico
Banca: GUALIMP
Orgão: Pref. Comendador Levy Gasparian-RJ
De acordo com a Base Nacional Comum Curricular (BNCC) - Componente Curricular: Ciências, aponta a unidade temática “Terra e Universo” a ser trabalhada com os alunos do oitavo ano do Ensino Fundamental. De tal forma, ao desenvolver esta unidade temática espera-se que os alunos desenvolvam a seguinte habilidade:
Provas
Disciplina: Biologia
Banca: GUALIMP
Orgão: Pref. Comendador Levy Gasparian-RJ
Complete as sentenças abaixo acerca da evolução da espécie humana:
I - O , trata-se do fóssil de uma espécie que vivia, na transição entre floresta e savana (atual Chade, África) e que sugere a divergência mais antiga entre as linhagens do homem e dos chimpanzés (~7Maa).
II - O , foi considerado os primeiros hominídeos a explorar outros continentes.
Provas
Disciplina: Biologia
Banca: GUALIMP
Orgão: Pref. Comendador Levy Gasparian-RJ
Leia o texto abaixo, e assinale qual o tipo de interação ecológica os indivíduos grifados, abaixo, apresentam:
“Em todo o mundo os recifes de corais são conhecidos pela beleza de variedade de vida, formas e cores. Devido sua fragilidade, os recifes de coral vêm sendo, rapidamente, degradados pelas atividades humanas como a sobrepesca, o desenvolvimento costeiro abrupto e desordenado, pela introdução de resíduos, agrotóxicos, sedimentos ou pelo crescente aumento, na intensidade do turismo, nessas áreas”.
Provas
Disciplina: Biologia
Banca: GUALIMP
Orgão: Pref. Comendador Levy Gasparian-RJ
Assinale o nome da estrutura anatômica do olho, o qual o texto, abaixo, se refere:
“Face opaca posterior da túnica fibrosa. Consiste em uma densa rede de fibras colágenas e elásticas, geralmente, brancas (“o branco do olho”). Ventral ao polo posterior há uma pequena área cribriforme, na qual passam as fibras do nervo óptico, o qual é envolto por uma bainha de tecido conjuntivo que prolonga a dura-máter a esta estrutura. Ela também é penetrada por diversos nervos e artérias ciliares pequenas e por veias vorticosas maiores. Essas estruturas conferem fixação aos tendões dos músculos oculares, na região anterior à do equador”.
Provas
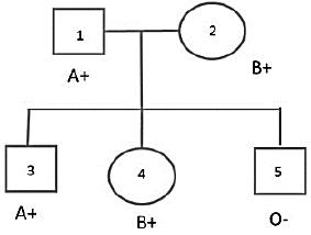
Disciplina: Biologia
Banca: GUALIMP
Orgão: Pref. Comendador Levy Gasparian-RJ
Com base no heredograma abaixo, julgue a alternativa correta:

Provas
Disciplina: Biologia
Banca: GUALIMP
Orgão: Pref. Comendador Levy Gasparian-RJ
Assinale verdadeiro (V) ou falso (F) para as seguintes afirmativas, acerca do tecido epitelial:
( ) O epitélio de transição é um epitélio estratificado em que a forma das células da camada mais superficial varia com o estado de distensão ou relaxamento do órgão, ele reveste a bexiga urinária, o ureter e a porção inicial da uretra.
( ) As células que exercem intensa absorção, como as do epitélio de revestimento do intestino delgado e dos túbulos proximais dos rins, apresentam centenas de microvilos.
( ) As glândulas endócrinas sempre possuem duas porções: uma porção secretora constituída pelas células responsáveis pelo processo secretório e uma porção constituída por ductos excretores que transportam a secreção eliminada pelas células.
Provas
Caderno Container