Foram encontradas 50 questões.
Em conformidade com a Lei Municipal nº 2.442/2019 —
Regime Jurídico dos Servidores Públicos do Município, a
exoneração de cargo efetivo dar-se-á a pedido do servidor
ou de ofício. A exoneração de ofício dar-se-á:
I. Quando houver desempenho de mandato classista.
II. Quando, tendo tomado posse, não entrar no exercício.
III. Quando, por decorrência de prazo, ficar extinta a disponibilidade.
IV. Após processo administrativo que concluir pela desnecessidade do cargo ou por violação aos deveres funcionais ou cometimento de falta grave.
Estão CORRETOS:
I. Quando houver desempenho de mandato classista.
II. Quando, tendo tomado posse, não entrar no exercício.
III. Quando, por decorrência de prazo, ficar extinta a disponibilidade.
IV. Após processo administrativo que concluir pela desnecessidade do cargo ou por violação aos deveres funcionais ou cometimento de falta grave.
Estão CORRETOS:
Provas
Questão presente nas seguintes provas
De acordo com a Lei Municipal nº 2.442/2019 — Regime
Jurídico dos Servidores Públicos do Município, quem faz a
avaliação dos servidores em estágio probatório é a:
Provas
Questão presente nas seguintes provas
Segundo a Lei Orgânica do Município, é vedada a
acumulação remunerada de cargos públicos, exceto quando
houver compatibilidade de horários:
I. De dois cargos de professor.
II. De um cargo de secretário com outro de diretor.
III. De um cargo de professor com outro técnico ou científico.
IV. De dois cargos privativos de médico.
Estão CORRETOS:
I. De dois cargos de professor.
II. De um cargo de secretário com outro de diretor.
III. De um cargo de professor com outro técnico ou científico.
IV. De dois cargos privativos de médico.
Estão CORRETOS:
Provas
Questão presente nas seguintes provas
Em conformidade com a Lei Orgânica do Município,
assinalar a alternativa que preenche a lacuna abaixo
CORRETAMENTE:
Os Vereadores gozam de por suas opiniões, palavras e votos no exercício do mandato e na circunscrição do Município ou a serviço deste.
Os Vereadores gozam de por suas opiniões, palavras e votos no exercício do mandato e na circunscrição do Município ou a serviço deste.
Provas
Questão presente nas seguintes provas
De acordo com a Lei Orgânica do Município, compete
privativamente ao Município disciplinar a utilização dos
logradouros públicos e, especialmente, o perímetro urbano:
I. Fixando e sinalizando os limites das “zonas de silêncio”, de trânsito e de tráfego em condições especiais.
II. Determinando os pontos de parada dos transportes particulares.
III. Disciplinando os serviços de carga e descarga e fixando a tonelagem máxima permitida a veículos que circulem em vias públicas municipais.
IV. Permitindo ou autorizando serviços de táxis e fixando as respectivas tarifas.
Estão CORRETOS:
I. Fixando e sinalizando os limites das “zonas de silêncio”, de trânsito e de tráfego em condições especiais.
II. Determinando os pontos de parada dos transportes particulares.
III. Disciplinando os serviços de carga e descarga e fixando a tonelagem máxima permitida a veículos que circulem em vias públicas municipais.
IV. Permitindo ou autorizando serviços de táxis e fixando as respectivas tarifas.
Estão CORRETOS:
Provas
Questão presente nas seguintes provas
2936848
Ano: 2023
Disciplina: Administração Financeira e Orçamentária
Banca: OBJETIVA
Orgão: Pref. Itabuna-BA
Disciplina: Administração Financeira e Orçamentária
Banca: OBJETIVA
Orgão: Pref. Itabuna-BA
Provas:
Em relação à receita pública, assinalar a alternativa que
preenche as lacunas abaixo CORRETAMENTE:
Receitas Orçamentárias são arrecadadas dentro do exercício financeiro, as disponibilidades financeiras do Estado e constituem instrumento para os objetivos definidos nos programas e ações orçamentários, com vistas a satisfazer finalidades públicas.
Receitas Orçamentárias são arrecadadas dentro do exercício financeiro, as disponibilidades financeiras do Estado e constituem instrumento para os objetivos definidos nos programas e ações orçamentários, com vistas a satisfazer finalidades públicas.
Provas
Questão presente nas seguintes provas
Considerando-se o número complexo z abaixo, qual o
valor de |z|?
z = 3+2i / 1+i
z = 3+2i / 1+i
Provas
Questão presente nas seguintes provas
A figura abaixo é o esboço do gráfico da função f: ℝ→ℝ
definida por f(x) = a∙bx, em que a e b ∈ ℝ. Nessas condições,
qual o valor da imagem de f quando a abscissa é igual a 3?


Provas
Questão presente nas seguintes provas
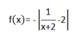
Seja f:ℝ-{-2}→ℝ a função real definida abaixo, qual o
valor da imagem de f quando x = 0?


Provas
Questão presente nas seguintes provas
Um cilindro A tem raio da base igual a 4cm e altura igual
a 10cm. Desse modo, um cilindro B com o triplo de raio e de
altura é quantas vezes mais volumoso do que o cilindro A?
Provas
Questão presente nas seguintes provas
Cadernos
Caderno Container