Foram encontradas 50 questões.
Sobre a potência elétrica, analiseas afirmações a seguir e assinale a alternativa correta:
I. a potência elétrica representa a taxa com que a energiaelétrica é transformada em outra forma de energia, comocalor, luz ou movimento, em determinado intervalo detempo;
II. a potência instantânea em um circuito é dada por p(t) =v(t) ⋅ i(t);
III. a unidade de potência elétrica no Sistema Internacional é o volt.ampère (VA), que equivale numericamente, sempre, a um watt (W);
IV. em corrente contínua, a potência dissipada em um resistor é calculada por P = V/I
I. a potência elétrica representa a taxa com que a energiaelétrica é transformada em outra forma de energia, comocalor, luz ou movimento, em determinado intervalo detempo;
II. a potência instantânea em um circuito é dada por p(t) =v(t) ⋅ i(t);
III. a unidade de potência elétrica no Sistema Internacional é o volt.ampère (VA), que equivale numericamente, sempre, a um watt (W);
IV. em corrente contínua, a potência dissipada em um resistor é calculada por P = V/I
Provas
Questão presente nas seguintes provas
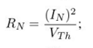
O Teorema de Norton estabelece
uma equivalência direta com o Teorema de Thévenin,
na qual a corrente de Norton (IN), a tensão de
Thévenin (VTh) e a resistência equivalente (RTh = RN)
estão relacionadas por:
Provas
Questão presente nas seguintes provas
Em um circuito puramente resistivo alimentado por uma fonte senoidal de tensão, a
relação entre tensão e corrente é:
Provas
Questão presente nas seguintes provas
No circuito abaixo, determine acorrente ix e a tensão vx no resistor de 4Ω:

Provas
Questão presente nas seguintes provas
Analise as afirmativas a seguir e
assinale a alternativa correta referente aos elementos
de um circuito elétrico:
I. resistor: é o bipolo para o qual existe uma relação funcional f(v,i,t) = 0 entre a tensão (v) em seus terminais, a corrente (i) que o atravessa e o tempo (t). Se essa relação não depende explicitamente de t, o resistor é dito fixo (invariante no tempo); caso contrário, é variável no tempo;
II. capacitor: é o bipolo capaz de armazenar carga elétrica, de modo que a carga q(t) armazenada no instante t depende apenas da tensão v(t) aplicada aos seus terminais (convenção do receptor);
III. indutor: é o bipolo que pode armazenar energia magnética, associada à corrente que o atravessa;
IV. fonte: é um bipolo passivo cuja tensão e corrente dependem unicamente do elemento conectado aos seus terminais, tendo como função principal armazenar energia elétrica.
I. resistor: é o bipolo para o qual existe uma relação funcional f(v,i,t) = 0 entre a tensão (v) em seus terminais, a corrente (i) que o atravessa e o tempo (t). Se essa relação não depende explicitamente de t, o resistor é dito fixo (invariante no tempo); caso contrário, é variável no tempo;
II. capacitor: é o bipolo capaz de armazenar carga elétrica, de modo que a carga q(t) armazenada no instante t depende apenas da tensão v(t) aplicada aos seus terminais (convenção do receptor);
III. indutor: é o bipolo que pode armazenar energia magnética, associada à corrente que o atravessa;
IV. fonte: é um bipolo passivo cuja tensão e corrente dependem unicamente do elemento conectado aos seus terminais, tendo como função principal armazenar energia elétrica.
Provas
Questão presente nas seguintes provas
Um hospital possui dois geradores de energia para casos de queda na rede elétrica. A
probabilidade de que um gerador específico funcione
corretamente quando acionado é de 95%. O funcionamento de um gerador é independente do outro.
Qual é a probabilidade de que pelo menos um gerador funcione em caso de queda de energia?
Qual é a probabilidade de que pelo menos um gerador funcione em caso de queda de energia?
Provas
Questão presente nas seguintes provas
Numa competição de
programação (Olimpíada Mauritiense de Programação)
as equipes Alfa e Beta receberam a tarefa de desenvolver um novo aplicativo. Ao final da primeira hora, a
1
equipe Alfa havia completado 1/3 do total de funcionalidades do aplicativo. A equipe Beta, por ter menos
programadores, conseguiu desenvolver 40% a menos
do que a equipe Alfa.
Qual fração do aplicativo ainda falta concluir?
Qual fração do aplicativo ainda falta concluir?
Provas
Questão presente nas seguintes provas
Considere a afirmação: "Para
todo professor de Lógica, se o professor tem mestrado
e dá aula na pós-graduação, então o professor está escrevendo um artigo".
Dizer que essa proposição é verdadeira é logicamente equivalente a negar qual das afirmações abaixo?
Dizer que essa proposição é verdadeira é logicamente equivalente a negar qual das afirmações abaixo?
Provas
Questão presente nas seguintes provas
Na multiplicação a seguir, cada
símbolo
representa algarismos distintos de
1 a 9, de modo que a operação esteja matematicamente
correta.
Sabendo que símbolos iguais representam o mesmo algarismo e símbolos diferentes representam algarismos distintos, qual é o valor da soma
Sabendo que símbolos iguais representam o mesmo algarismo e símbolos diferentes representam algarismos distintos, qual é o valor da soma
Provas
Questão presente nas seguintes provas
Suponha que hoje seja o seu aniversário e considere que o ano tem 365 dias (despreze
anos bissextos). Daqui a exatos 18 540 dias, quantos
dias terão se passado desde o seu último aniversário
nessa data futura?
Provas
Questão presente nas seguintes provas
Cadernos
Caderno Container