Foram encontradas 150 questões.
Uma jovem chega a uma loja que vende piscinas e solicita
uma para instalar atrás de sua casa. Ela chega conforme foi
instruída pelo responsável pela obra, é uma piscina com
capacidade para 35 m³ de água. O vendedor disse que só
saberia informar os modelos em litros. Logo, ela fez a correta
transformação, e solicitou uma piscina com capacidade para:
Provas
Questão presente nas seguintes provas
Abaixo é possível observar que foram marcados dois pontos, A e B, no plano cartesiano:

Caso seja traçada uma reta entre esses dois pontos, pode-se afirmar que o seu comprimento será igual a, aproximadamente: (Considere que a medida está em unidades de medida).
Provas
Questão presente nas seguintes provas
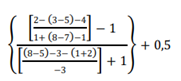
Um jovem, enquanto estudava as operações básicas
matemáticas, encontrou a seguinte expressão, sobressaltando-se, pois acreditava ser muito complexa. Entretanto, ao analisar
calmamente, verificou que se tratava de uma expressão muito
simples.
Assinale a alternativa que traz o resultado da expressão acima.
Assinale a alternativa que traz o resultado da expressão acima.
Provas
Questão presente nas seguintes provas
Considere que um arqueiro se posiciona no centro de uma
arena de competição, de frente para o norte geográfico. Então
ele lança uma flecha que é cravada no centro de um alvo a
exatos 37,5 metros à sua frente. Em seguida, ele vira noventa
graus para a direita e lança outra flecha que também é crava no
centro de um alvo a exatos 50 metros à sua frente. Assim, é
possível afirmar que a distância entre os centros desses dois
alvos é igual a: (Considere que em ambos os lançamentos das
flechas, elas percorreram o espaço horizontalmente).
Provas
Questão presente nas seguintes provas
O cubo mágico, também conhecido como cubo de Rubik, é
um quebra-cabeça tridimensional inventado pelo arquiteto
húngaro Ernő Rubik em 1974. Ele criou o cubo mágico como
uma ferramenta para ajudar seus alunos a entender conceitos
de geometria tridimensional. Comumente, é possível observar
que em cada face do cubo mágico comum, se encontram 9
quadrados coloridos; assim, o cubo mágico é formado de vários
cubos menores, ao menos externamente. Nesse sentido,
quantos cubos menores externos são possíveis de ver em um
cubo mágico comum?
Provas
Questão presente nas seguintes provas
Considere que em uma prova para um concurso público, os
candidatos encontraram como primeira questão da parte
destinada à matemática, a seguinte expressão que envolvia
logaritmos:
log5 60 - log5 115
Os candidatos que obtiveram pontuação na questão que possuía a expressão acima responderam que o seu resultado é igual a:
log5 60 - log5 115
Os candidatos que obtiveram pontuação na questão que possuía a expressão acima responderam que o seu resultado é igual a:
Provas
Questão presente nas seguintes provas
Observe a matriz abaixo e assinale a alternativa que
apresenta o seu determinante na hipótese dos elementos de
sua primeira coluna serem triplicados e dos elementos de sua
terceira coluna serem divididos por três.


Provas
Questão presente nas seguintes provas
A média aritmética é uma medida estatística básica e
fundamental amplamente utilizada em várias áreas da
matemática, das ciências, da economia e muitos outros
campos. Sua importância reside em várias características e usos
práticos, como para comparação e avaliação. Considere a
tabela a seguir que traz o preço de 4 cursos em duas diferentes
escolas de idiomas, sendo que os cursos fazem parte da
evolução do estudante no idioma escolhido:
Com base nas informações da tabela acima, é possível afirmar que:
Com base nas informações da tabela acima, é possível afirmar que:
Provas
Questão presente nas seguintes provas
Observe os números abaixo, os quais compõem um certo conjunto:

Ao observar os elementos desse conjunto, que são limitados a 10, é possível se estabelecer uma relação entre eles, e chegar à conclusão de que o número identificado por um ponto de interrogação é igual a:
Provas
Questão presente nas seguintes provas
Gastos de turistas no Brasil em 2023 superam ano de Copa e
chegam a US$ 6,9 bilhões, diz governo
A Agência Brasileira de Promoção Internacional do
Turismo (Embratur) informou nesta segunda-feira (5) que os
gastos de turistas de outros países no Brasil em 2023 atingiram
US$ 6,9 bilhões, representando, segundo o órgão, o maior valor
no período de um ano.
Segundo a Embratur, até então, o recorde havia sido
registrado em 2014, quando os turistas gastaram no Brasil US$
6,8 bilhões (em valores corrigidos). A série histórica do Banco
Central para o indicador, utilizado pela Embratur, tem início em
1995.
Naquele ano, o país sediou a Copa do Mundo de
futebol em mais de uma dezena de cidades, entre as quais
Brasília, São Paulo, Rio de Janeiro, Belo Horizonte, Porto Alegre
e Salvador.
Na comparação com 2022, quando os turistas de
outros países gastaram no Brasil US$ 4,9 bilhões, o crescimento
em 2023 foi de US$ 2 bilhões, segundo os dados oficiais. A
meta, de acordo com a Embratur, é alcançar em 2027 o
montante de US$ 8,1 bilhões.
Em nota, o presidente da Embratur, Marcelo Freixo,
avaliou que o resultado tem relação com a reaproximação do
Brasil com outros países do mundo, acrescentando que o setor
de turismo tem capacidade de gerar emprego e renda à medida
em que aumentarem os números de turistas e de gastos no
país.
De acordo com a agência, o país registrou a entrada de
6 milhões de turistas, o que representa número próximo ao
registrado pré-pandemia de Covid.
Fonte: https://g1.globo.com/politica/noticia/2024/02/05/gastos-de-turistasno-brasil-em-2023-superam-ano-de-copa-e-chegam-a-us-69-bilhoes-dizgoverno.ghtml(adaptado).
Provas
Questão presente nas seguintes provas
Cadernos
Caderno Container