Foram encontradas 150 questões.
Pode-se afirmar que um dos principais objetivos dos Parâmetros Curriculares Nacionais (PCNs) no contexto da educação básica brasileira é:
Provas
Considerando as perspectivas crítica e neoliberal na educação, qual das seguintes afirmações melhor contrasta essas duas visões sobre a função social e política da escola?
Provas
Na história da educação brasileira, qual movimento foi fundamental para a democratização do acesso à educação e a implementação de políticas públicas educacionais inclusivas?
Provas
De acordo com a Lei de Diretrizes e Bases da Educação Nacional (LDB) – Lei nº 9.394/1996, qual é o princípio que NÃO se aplica à educação nacional?
Provas
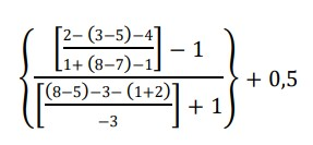
Um jovem, enquanto estudava as operações básicas matemáticas, encontrou a seguinte expressão, sobressaltando-se, pois acreditava ser muito complexa. Entretanto, ao analisar calmamente, verificou que se tratava de uma expressão muito simples.

Assinale a alternativa que traz o resultado da expressão acima.
Provas
O cubo mágico, também conhecido como cubo de Rubik, é um quebra-cabeça tridimensional inventado pelo arquiteto húngaro Ernő Rubik em 1974. Ele criou o cubo mágico como uma ferramenta para ajudar seus alunos a entender conceitos de geometria tridimensional. Comumente, é possível observar que em cada face do cubo mágico comum, se encontram 9 quadrados coloridos; assim, o cubo mágico é formado de vários cubos menores, ao menos externamente. Nesse sentido, quantos cubos menores externos são possíveis de ver em um cubo mágico comum?
Provas
Considere que em uma prova para um concurso público, os candidatos encontraram como primeira questão da parte destinada à matemática, a seguinte expressão que envolvia logaritmos:
log5 60 - log5 115
Os candidatos que obtiveram pontuação na questão que possuía a expressão acima responderam que o seu resultado é igual a:
Provas
Observe a matriz abaixo e assinale a alternativa que apresenta o seu determinante na hipótese dos elementos de sua primeira coluna serem triplicados e dos elementos de sua terceira coluna serem divididos por três.
Provas
A média aritmética é uma medida estatística básica e fundamental amplamente utilizada em várias áreas da matemática, das ciências, da economia e muitos outros campos. Sua importância reside em várias características e usos práticos, como para comparação e avaliação. Considere a tabela a seguir que traz o preço de 4 cursos em duas diferentes escolas de idiomas, sendo que os cursos fazem parte da evolução do estudante no idioma escolhido:
| Nível | Escola 1 | Escola 2 |
| Básico | R$ 280,00 | R$ 180,00 |
| Mediano | R$ 320,00 | R$ 260,00 |
| Complexo | R$ 360,00 | R$ 340,00 |
| Proficiente | R$ 450,00 | R$ 500,00 |
Com base nas informações da tabela acima, é possível afirmar que:
Provas
Observe os números abaixo, os quais compõem um certo conjunto:
192 786432 3 48 3072
12 49152 196608 ? 768
Ao observar os elementos desse conjunto, que são limitados a 10, é possível se estabelecer uma relação entre eles, e chegar à conclusão de que o número identificado por um ponto de interrogação é igual a:
Provas
Caderno Container