Foram encontradas 40 questões.
Instrução: A questão refere-se ao texto abaixo. O destaque ao
longo do texto está citado na questão.

No trecho a seguir, as formas verbais destacadas têm sujeitos simples ou desinencial (oculto, mas perceptível pela pessoa em que o verbo está flexionado), EXCETO em:
Por se tratar de uma região muito empobrecida, são inúmeros os casos de famílias que arrumam casamentos para as meninas com o intuito de diminuírem os gastos financeiros do lar, já que essas contas passam para o futuro esposo das crianças.
Provas
Instrução: A questão refere-se ao texto abaixo. O destaque ao
longo do texto está citado na questão.

Considere as seguintes assertivas sobre palavras do texto:
I. A diferença fonética entre pais e país justifica-se porque na primeira há um ditongo decrescente, enquanto na segunda há um hiato.
II. As palavras já, até e lá são monossílabos tônicos, o que justifica sua acentuação gráfica.
III. As palavras África, inúmeros e estatística pertencem ao mesmo grupo quanto à justificativa para o acento gráfico.
IV. As palavras vitória e decorrências, consideradas tanto paroxítonas como proparoxítonas eventuais, têm sua acentuação gráfica justificada por duas regras.
Quais estão corretas?
Provas
Instrução: A questão refere-se ao texto abaixo. O destaque ao
longo do texto está citado na questão.

Assinale a alternativa em que a reescrita do seguinte trecho altera o sentido pretendido no texto original.
Ano passado (2019), Theresa alcançou mais uma vitória: ela conseguiu que fosse estabelecida a maioridade de 18 anos como condição para casamentos, mesmo que os pais aprovem.
Provas
Disciplina: Atualidades e Conhecimentos Gerais
Banca: FUNDATEC
Orgão: Pref. Vacaria-RS
Provas
Provas
As demonstrações contábeis são uma representação estruturada da posição patrimonial e financeira e do desempenho da entidade. Considerando o Balanço Patrimonial de um supermercado, relacione a Coluna 1 à Coluna 2.
Coluna 1
1. Passivo Circulante.
2. Ativo Circulante.
3. Passivo não Circulante.
4. Patrimônio Líquido.
5. Ativo não Circulante.
Coluna 2
( ) Terrenos para investimento.
( ) Duplicatas a Receber (curto prazo).
( ) Salários a pagar (referente ao mês anterior).
( ) Reservas de Lucros.
( ) Financiamentos (longo prazo).
A ordem correta de preenchimento dos parênteses, de cima para baixo, é:
Provas
Provas
Considere as seguintes proposições verdadeiras:
I. Todos os contadores de Vacaria gostam de estudar Matemática.
II. Alguns advogados de Vacaria gostam de estudar Matemática.
III. Não há quem seja em Vacaria ao mesmo tempo contador e advogado.
IV. Pedro é advogado.
Disso, pode-se concluir que:
Provas
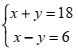
No sistema de equações
o valor de x2 + y2 é:
Provas
Instrução: A questão refere-se ao texto abaixo. O destaque ao
longo do texto está citado na questão.

Provas
Caderno Container