Foram encontradas 80 questões.
Mariana faz doces para festas de aniversário. Para fazer 37 brigadeiros, ela gasta uma lata de leite condensado que custa R$ 2,10 e 1/3 de uma lata de achocolatado em pó que custa R$ 4,50 a lata. Ela recebeu uma encomenda de 222 brigadeiros. Quanto ela gastará par comprar os ingredientes?
Provas
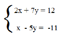
Resolva o sistema abaixo e marque a resposta correta.

Provas
Provas
Disciplina: Matemática Financeira
Banca: REIS & REIS
Orgão: Pref. Varginha-MG
Joana faz roupas de festa para vender. Um vestido tem o preço de custo de R$ 80,00 e ela irá vender por R$ 120,00. Qual a taxa percentual de lucro sobre o preço de custo do vestido?
Provas
Faça a correlação, identificando as figuras de linguagem e depois marque a opção correta, respectivamente:
1. Metáfora
2. Antítese
3. Ironia
4. Hipérbole
( ) “Chorou rios de lágrimas”
( ) “É um excelente goleiro... Só deixou que marcassem oito gols.”
( ) “Uns buscam o bem; outros buscam o mal.”
( ) “Minha vida é um palco iluminado.”
Provas
- LegislaçãoLei 9.394/1996: Lei de Diretrizes e Bases da Educação Nacional
- Temas Educacionais Pedagógicos
Os Parâmetros Curriculares Nacionais indicam como objetivos do ensino fundamental que os alunos sejam capazes de, exceto:
Provas
Quando é que o jornal Folha de São Paulo questiona o posicionamento do professor?
Provas
O jornal Folha de São Paulo introduziu com o seguinte comentário uma entrevista com o professor Paulo Freire:
“Agente cheguemos’ não será uma construção errada?” Os trechos da entrevista nos quais a Folha de São Paulo se baseou para fazer tal comentário fora as seguintes:“A criança terá uma escola na qual a sua linguagem seja respeitada (...). Uma escola em que a criança aprenda a sintaxe dominante, mas sem desprezo pela sua (...). Esses oito milhões de meninos que vêm da periferia do Brasil (...). Precisamos respeitar a sua sintaxe mostrando que sua linguagem é bonita e gostosa. E mostrando tudo isso, dizer a ele: mas para tua própria vida, tu precisas dizer ‘a gente chegou’ em vez de dizer ‘a gente cheguemos’. Isso é diferente, ‘a abordagem’ é diferente. É assim que queremos trabalhar, com abertura, mas dizendo a verdade.”
Qual é a posição defendida pelo professor Paulo Freire com relação à correção dos erros gramaticais na escola?
Provas

Sobre o poema acima, podemos dizer que todas as ações são corretas, exceto a que afirma que o texto de Bandeira:
Provas
Disciplina: Inglês (Língua Inglesa)
Banca: REIS & REIS
Orgão: Pref. Varginha-MG

“ Everyone should get exercise.” The modal “ should means:
Provas
Caderno Container