Foram encontradas 75 questões.

Considere que as lâmpadas representadas no circuito acima sejam idênticas e ideais. Ao se retirar a lâmpada II, mantendo-se os demais elementos do circuito,
Provas
Texto para as questões de 37 a 38

Na figura I acima, um pescador de massa MP está inicialmente parado na popa de um barco, que também está parado no lago, e em seguida se desloca para a proa, como mostra a figura II. Assuma que a massa do barco, MB, é igual a três vezes a massa do pescador, que o comprimento do barco é igual a L = 4,0 m e que o centro de massa do barco encontra-se na metade do barco, ou seja, a 2,0 m da extremidade.
A distância do centro de massa do sistema à extremidade do barco antes de o pescador se deslocar vale
Provas
Texto para as questões de 37 a 38

Na figura I acima, um pescador de massa MP está inicialmente parado na popa de um barco, que também está parado no lago, e em seguida se desloca para a proa, como mostra a figura II. Assuma que a massa do barco, MB, é igual a três vezes a massa do pescador, que o comprimento do barco é igual a L = 4,0 m e que o centro de massa do barco encontra-se na metade do barco, ou seja, a 2,0 m da extremidade.
Ainda com relação ao texto, a distância que o barco percorre, em relação ao lago, durante o percurso do pescador da popa à proa vale
Provas
Texto para as questões de 37 a 38

Na figura I acima, um pescador de massa MP está inicialmente parado na popa de um barco, que também está parado no lago, e em seguida se desloca para a proa, como mostra a figura II. Assuma que a massa do barco, MB, é igual a três vezes a massa do pescador, que o comprimento do barco é igual a L = 4,0 m e que o centro de massa do barco encontra-se na metade do barco, ou seja, a 2,0 m da extremidade.
Em relação ao sistema barco-pescador, considerado como um sistema isolado e desprezando a resistência da água, julgue os itens a seguir.
I Há conservação da quantidade de movimento.
II medida em que o pescador se move para a frente, o barco se move no sentido oposto.
III O centro de massa do sistema se move em relação a um ponto fixo no lago.
Assinale a opção correta
Provas

O experimento da campainha ilustrado na figura acima pode ser facilmente montado por alunos do ensino médio. Com este circuito elétrico, pode-se observar fenômenos elétricos, magnéticos e mecânicos.
Ainda em relação ao circuito elétrico da campainha, considere que o mesmo seja ligado em um dado instante e, a partir de então, fique ligado continuamente, isto é, que não ocorra interrupção da corrente elétrica. Considere, ainda, que e-1 = 0,37. Após ser ligado, transcorrido um tempo igual à constante de tempo indutiva,
, em que L e R são, respectivamente, a indutância e a resistência elétrica do circuito, o valor da corrente elétrica, expressa em porcentagem (%) de seu valor máximo, vale
Provas

O experimento da campainha ilustrado na figura acima pode ser facilmente montado por alunos do ensino médio. Com este circuito elétrico, pode-se observar fenômenos elétricos, magnéticos e mecânicos.
Julgue os itens seguintes, relativos ao texto e ao circuito elétrico acima, considerando que a chave está continuamente ligada.
I A corrente elétrica induzida no circuito será constante no tempo.
II A bobina induzirá no núcleo de ferro um campo magnético variável no tempo.
III O campo magnético induzido no núcleo de ferro é responsável pelo acionamento do mecanismo que interrompe a corrente elétrica no circuito.
Assinale a opção correta.
Provas

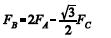
Três crianças (Alex, Bruna e Carlos) puxam um pneu, com forças de intensidades e direções diferentes, como mostra a figura acima. Assinale a opção que expressa corretamente o módulo da força que deve ser aplicada por Bruna (FB) para o que o pneu não se mova na sua direção.
Provas

As crianças A e B, de massas mA e mB, respectivamente, estão sentadas em um balanço, como mostrado na figura acima. Supondo que a criança B é 20% mais pesada do que a criança A, então, a relação entre as distâncias dA e dB que garante que o balanço fique em equilíbrio na horizontal é
Provas

Uma jovem com altura h = 1,7 m e 50 kg salta de bungee-jump a uma altura de 45,0 m acima do nível do rio, como mostra a figura acima. No estado relaxado, a corda do bungee-jump tem um comprimento L = 25,0 m. Assumindo que a aceleração da gravidade g = 10 m/s2, que a corda é elástica, de massa desprezível e obedece a lei de Hooke, com constante de mola igual a k = 100 N/m, assinale a opção correspondente ao valor aproximado, em newtons, do módulo da força resultante sobre a jovem no ponto mais baixo de sua trajetória.
Provas

A figura acima mostra uma criança descendo em um toboágua. Admitindo que ela é liberada do topo, a uma altura h = 8 m em relação à base, com velocidade inicial igual a zero, que a aceleração da gravidade, g, é igual a 10 m/s2 e desconsiderando as forças de atrito, então o módulo, da velocidade da criança na parte mais baixa do toboágua será mais próximo de
Provas
Caderno Container