Foram encontradas 119 questões.

Com relação a essas informações, julgue os itens seguintes.
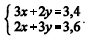
O problema de se determinar o preço unitário de cada fruta se resumiu em resolver o seguinte sistema de equações lineares:![]()
Provas

Com relação a essas informações, julgue os itens seguintes.
Para obter o preço unitário de cada fruta, é suficiente multiplicar a inversa da matriz A à esquerda da matriz B.
Provas

Com relação a essas informações, julgue os itens seguintes.
No caso, a inversa da matriz A é a matriz 
Provas

Com relação a essas informações, julgue os itens seguintes.
O preço de 4 mangas foi igual a R$ 2,40.
Provas
Considere os polinômios p(x) = x 3 - 5x 2 + 6x e d(x) = x - 3, e seja q(x) o quociente da divisão de p(x) por d(x), cujo resto é representado por r(x). Nesse caso, é correto afirmar que
o valor de p(x) em x = 3 é igual a r(3).
Provas
Considere os polinômios p(x) = x 3 - 5x 2 + 6x e d(x) = x - 3, e seja q(x) o quociente da divisão de p(x) por d(x), cujo resto é representado por r(x). Nesse caso, é correto afirmar que
o produto das raízes de p(x) é igual a 6.
Provas
Considere os polinômios p(x) = x 3 - 5x 2 + 6x e d(x) = x - 3, e seja q(x) o quociente da divisão de p(x) por d(x), cujo resto é representado por r(x). Nesse caso, é correto afirmar que
p(x) não é divisível por d(x), isto é, para algum valor de x tem-se que r(x) … 0.
Provas


Utilizando-se um gráfico de pizza equivalente ao gráfico de barras apresentado pelo presidente, vê-se que a área correspondente a compras para o bar é igual a um quarto da área do gráfico todo.
Provas


Incluindo-se os encargos sociais ao pagamento de empregados, verifica-se que esse total ainda é inferior à despesa com serviços de manutenção.
Provas


Se, no segundo trimestre, as despesas foram 10% inferiores às do primeiro trimestre, e, no terceiro trimestre, 10% superiores às do segundo, então as despesas do terceiro trimestre são iguais às do primeiro.
Provas
Caderno Container