Foram encontradas 100 questões.
- EletrotécnicaCircuitos de Corrente Contínua em Eletrotécnica
- EletrotécnicaCircuitos Elétricos em Eletrotécnica

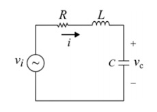
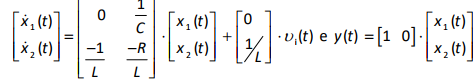
Considerando x1(t)= vc (t) e x2(t)= i(t) como as variáveis de estado e y(t)= vc (t) como a variável de saída do sistema, o comportamento dinâmico desse circuito poderá ser representado no espaço de estados por

Provas
Duas cargas são alimentadas por meio de uma fonte de tensão CA trifásica equilibrada e ideal. A carga em triângulo apresenta as impedâncias Zab =Zbc = Zac = ZΔ e a carga em estrela apresenta as impedâncias ZaN'= ZbN'= ZcN'= ZY, conforme representado a seguir.

Com base nessa situação hipotética, julgue o próximo item.
Como as cargas ZΔ e ZY são equilibradas, a tensão ÊNN' deve ser diferente de zero.
Provas
Duas cargas são alimentadas por meio de uma fonte de tensão CA trifásica equilibrada e ideal. A carga em triângulo apresenta as impedâncias Zab =Zbc = Zac = ZΔ e a carga em estrela apresenta as impedâncias ZaN'= ZbN'= ZcN'= ZY, conforme representado a seguir.

Com base nessa situação hipotética, julgue o próximo item.
Para ZΔ = 10√3∠30ºΩ , a corrente Îab será de 22 A.
Provas
Duas cargas são alimentadas por meio de uma fonte de tensão CA trifásica equilibrada e ideal. A carga em triângulo apresenta as impedâncias Zab =Zbc = Zac = ZΔ e a carga em estrela apresenta as impedâncias ZaN'= ZbN'= ZcN'= ZY, conforme representado a seguir.

Com base nessa situação hipotética, julgue o próximo item.
Êbc = 220√3∠ - 120º V.Provas
Duas cargas são alimentadas por meio de uma fonte de tensão CA trifásica equilibrada e ideal. A carga em triângulo apresenta as impedâncias Zab =Zbc = Zac = ZΔ e a carga em estrela apresenta as impedâncias ZaN'= ZbN'= ZcN'= ZY, conforme representado a seguir.

Com base nessa situação hipotética, julgue o próximo item.
Para ZY = 10 ∠30º Ω ZΔ = 5∠ 30º Ω, a impedância equivalente por fase, vista pela fonte de tensão, é de, aproximadamente, 1,4∠30º Ω
Provas
Conforme o entendimento do Supremo Tribunal Federal, o Distrito Federal é uma unidade federativa de compostura singular e, conquanto submetido a regime constitucional diferenciado, está bem mais próximo da estruturação dos estados-membros que da arquitetura constitucional dos municípios. Com base nessa informação e nas normas sobre a organização dos Poderes, julgue o item a seguir.
Os deputados distritais, como mecanismo de garantia de liberdade para o exercício de suas atribuições, a partir da posse, possuem, entre outras prerrogativas, o foro por prerrogativa de função perante o Tribunal de Justiça do Distrito Federal e dos Territórios.
Provas
O Poder Judiciário e o Ministério Público no Distrito Federal são organizados e mantidos pela União.
Provas
De acordo com a Lei Orgânica do Distrito Federal, julgue o item seguinte.
Segundo as leis eleitorais, os inelegíveis não podem ser designados para o exercício de funções de confiança ou para ocuparem cargos em comissão, salvo, neste último caso, os cargos de natureza especial.
Provas
De acordo com a Lei Orgânica do Distrito Federal, julgue o item seguinte.
Em razão de todo o poder emanar do povo, que o exerce por meio de representantes eleitos e instrumentos diretos do exercício da soberania popular, independentemente da edição de qualquer ato legislativo, a escolha do administrador regional dá-se com a participação popular.
Provas
De acordo com a Lei Orgânica do Distrito Federal, julgue o item seguinte.
Com a finalidade de garantir a utilização racional dos recursos a partir de descentralização administrativa, o Distrito Federal poderá propor ao Congresso Nacional a criação de regiões administrativas.
Provas
Caderno Container