Foram encontradas 120 questões.
Provas
Provas
A respeito do sistema operacional Windows, julgue os itens subsequentes.
No Windows, os ícones de atalho possuem como característica uma seta no canto inferior esquerdo, e a área de notificação apresenta ícones que permanecem ativos em segundo plano.
Provas
Acerca de conceitos e modos de utilização de aplicativos do ambiente Microsoft Office, julgue os itens a seguir.
A opção Do scanner ou câmera, para adicionar imagens a uma apresentação ou álbum de fotografias, presente no PowerPoint 2003, não está disponível no PowerPoint 2007.
Provas
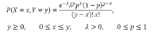
- Distribuições de ProbabilidadeDistribuições Conjuntas, Marginais e Condicionais
- Estatística DescritivaMedidas de DispersãoVariância

A respeito da distribuição conjunta (XY), de variáveis aleatórias discretas, apresentada acima, julgue os itens a seguir.
![]()
Provas

Com base nessas informações, julgue os itens de 105 a 108.
Considere que o coeficiente de assimetria da distribuição das notas dos alunos tenha sido igual a 1,80. Nessa situação, as proporções de menções A e B observadas foram menores que as proporções esperadas correspondentes.
Provas

Com base nessas informações, julgue os itens de 105 a 108.
Se a distribuição das notas dos alunos for platicúrtica, então a proporção de alunos com menção A será maior que a proporção esperada de alunos com essa menção.
Provas

Com base nessas informações, julgue os itens de 105 a 108.
Sabendo-se que a média histórica na disciplina foi 5,09, se as menções A, B e C forem atribuídas com relação aos respectivos pontos de corte da nota bruta 9,0, 7,0 e 5,0, é correto afirmar que a proporção de alunos com menções A ou B tenderá a ser maior somente se o desvio padrão for menor que 3,0.
Provas

Com base nessas informações, julgue os itens de 105 a 108.
A proporção esperada de alunos aprovados na disciplina será maior se a média da turma diminuir.
Provas
- Estatística DescritivaMedidas de DispersãoAmplitude
- Estatística DescritivaMedidas de Tendência CentralBox Plot

Acerca da tabela acima que mostra as notas de uma amostra de 10 alunos em provas de matemática e física, julgue os próximos itens.

Provas
Caderno Container