Foram encontradas 50 questões.
Na figura ao lado, EFGH é um paralelogramo, EF=8cm, EH=12cm, FH=10cm, KH=2,4cm, e os segmentos IK e EF são paralelos.

Provas
Um vendedor de carros usados teve um lucro de 20% sobre o preço de custo de um certo carro. Se ele tivesse vendido esse carro por 400 reais a mais, o lucro teria sido de 25%. Podemos dizer que o preço de custo desse carro foi de:
Provas
Segundo os Parâmetros Curriculares Nacionais do Ensino Fundamental, resolver um problema em uma situação de aprendizagem de matemática pressupõe que o aluno adote certos posicionamentos.
Dentre os posicionamentos abaixo, qual NÃO se encontra adequado às orientações desse documento?
Provas
Roberto, Beatriz e Amanda jogaram o "Jogo do Banqueiro". Nesse jogo, cada criança recebe, ao acaso, fichas brancas (B). Ela deve trocar quatro fichas brancas por uma amarela (A), quatro fichas amarelas por uma verde (V), e quatro fichas verdes por uma preta (P). Ao final da partida, cada um tinha as seguintes fichas:

Podemos dizer que a ordem de classificação no jogo foi:
Provas

Sobre esses erros desse aluno, três professores apresentaram suas justificativas:
Professor 1: este aluno está concebendo os números decimais como dois números separados por uma vírgula, ou seja, um número antes e outro depois da vírgula.
Professor 2: este aluno está aplicando uma idéia usada para comparar números naturais na comparação de decimais, na qual quanto mais algarismos, maior o número.
Professor 3: este aluno certamente não foi ensinado sobre a comparação de números decimais.
Observando os erros cometidos pelo aluno, podemos dizer que estão corretas as justificativas:
Provas
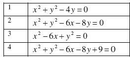
Considere as circunferências A, B, C e D abaixo, representadas em um sistema de coordenadas cartesianas:

No quadro abaixo, estão apresentadas as equações das quatro circunferências anteriores:

Associando cada circunferência à sua equação obtemos:
Provas
Uma caixa tem a forma de um paralelepípedo retângulo de dimensões 24 cm, 36 cm e 60 cm. Ela está totalmente preenchida por cubos cuja aresta tem sua medida, em centímetros, representada por um número natural.
Considere as afirmações seguintes:
I - ela pode conter 810 cubos.
II - ela pode conter 240 cubos.
III - ela pode conter 30 cubos.
Nessas condições, podemos afirmar que:
Provas
Considere as seguintes afirmações de três professores, em relação à utilização da calculadora na sala de aula de matemática:
Professor 1: a calculadora pode ser utilizada como instrumento de auto-avaliação.
Professor 2: a calculadora pode favorecer a percepção de regularidades matemáticas.
Professor 3: a calculadora impede que os alunos aprendam a tabuada.
De acordo com os Parâmetros Curriculares Nacionais, estariam corretas:
Provas
Sejam os números racionais A, B e C seguintes:

Provas
O Estatuto da Criança e do Adolescente trata do direito à educação, à cultura, ao esporte a ao lazer, afirmando:
Provas
Caderno Container