Magna Concursos

Foram encontradas 120 questões.

3588988 Ano: 2007
Disciplina: TI - Gestão e Governança de TI
Banca: ESAF
Orgão: SEFAZ-CE
Provas:

Segundo o PMBoK, desenvolver o Termo de Abertura do Projeto, a Declaração Preliminar de Escopo, o Plano de Gerenciamento do Projeto e Encerrar o Projeto, são processos

 

Provas

Questão presente nas seguintes provas
3588987 Ano: 2007
Disciplina: Inglês (Língua Inglesa)
Banca: ESAF
Orgão: SEFAZ-CE
Provas:
Read the text below entitled "A natural choice" in order to answer question:

A natural choice
Source: The Economist
Oct 12th 2006 (Adapted)


Born in the trough of the Great Depression, Edmund Phelps, a professor at Columbia University who this week won the Nobel prize for economics, has spent much of his intellectual life studying slumps of a different kind. The Depression, which cost both of his parents their jobs, was exacerbated by the monetary authorities, who kept too tight a grip on the money supply. Mr Phelps is interested in unemployment that even open-handed central bankers cannot cure.

Most scholars stand on the shoulders of giants. But Mr Phelps won his laurels in part for kicking the feet from under his intellectual forerunners. In 1958 William Phillips, of the London School of Economics, showed that for much of the previous hundred years, unemployment was low in Britain when wage infl ation was high, and high when inflation was low. Economists were quick - too quick - to conclude that policymakers therefore faced a grand, macroeconomic trade-off, embodied in the so-called "Phillips curve". They could settle for unemployment of, say, 6% and an inflation rate of 1% - as prevailed in America at the start of the 1960s - or they could quicken the economy, cutting unemployment by a couple of percentage points at the expense of inflation of 3% or so - which is roughly how things stood in America when Mr Phelps published his first paper on the subject in 1967.


According to the text, Mr Phelps
 

Provas

Questão presente nas seguintes provas
3588986 Ano: 2007
Disciplina: Português
Banca: ESAF
Orgão: SEFAZ-CE
Provas:

Analise as seguintes afirmações relacionadas a noções de programação, construção de algoritmos e arquitetura de aplicações para a Internet.

I. Assim como os programas escritos em C, em ASP e em HTML os programas compilados em Java bytecode podem ser executados sem modificações e sem serem recompilados em qualquer tipo de processador.

II. Programas compilados para uma máquina IBM PS6000, que usa o conjunto de instruções de uma CPU PowerPC, podem ser executados em um IBM PC que executa um conjunto de instruções da CPU 8086.

III. Um dos métodos para se tratar deadlock é permitir que o sistema se recupere depois de entrar em estado de deadlock.

IV. Na passagem de parâmetros por valor, a expressão correspondente ao parâmetro é avaliada e apenas seu valor é passado para a variável correspondente ao parâmetro dentro da função.

Indique a opção que contenha todas as afirmações verdadeiras.

 

Provas

Questão presente nas seguintes provas
3588981 Ano: 2007
Disciplina: Matemática Financeira
Banca: ESAF
Orgão: SEFAZ-CE
Provas:
Uma pessoa aplicou um capital a juro simples exato a uma taxa de 20% ao ano e ele cresceu 8% ao fim do prazo.

Qual foi o prazo de aplicação do capital?
 

Provas

Questão presente nas seguintes provas
3588974 Ano: 2007
Disciplina: TI - Desenvolvimento de Sistemas
Banca: ESAF
Orgão: SEFAZ-CE
Provas:

Analise as seguintes afirmações relacionadas a noções de programação.

I. ASP é um ambiente de programação por script, que pode ser usado para criar páginas dinâmicas e interativas para a Internet. Quando uma página ASP é requisitada, são gerados códigos HTML que são enviados para o browser requisitante.

II. Os códigos ASP sempre serão lidos e processados pelo servidor.

III. O DirectX é um conjunto de tecnologias de integração que ajuda os aplicativos e componentes a se comunicarem e se coordenarem corretamente, seja em uma máquina, em uma rede local ou na Internet.

IV. O ActiveX inclui drivers aceleradores de placa de vídeo e de placa de som que possibilitam uma melhor reprodução para diferentes tipos de multimídia, como, por exemplo, animação em 3D. O ActiveX ativa essas funções avançadas sem que o usuário necessite configurar o hardware do computador e assegura que todo o software seja executado no hardware configurado.

Indique a opção que contenha todas as afirmações verdadeiras.

 

Provas

Questão presente nas seguintes provas
3588969 Ano: 2007
Disciplina: TI - Sistemas Operacionais
Banca: ESAF
Orgão: SEFAZ-CE
Provas:

Em relação a escalonamento de processos é incorreto afirmar que

 

Provas

Questão presente nas seguintes provas
3588966 Ano: 2007
Disciplina: Direito Tributário
Banca: ESAF
Orgão: SEFAZ-CE
Provas:

O Sistema Tributário Nacional é disciplinado na Constituição Federal de 1988 a partir do art. 145. Sobre seus princípios gerais (arts. 145 a 149-A), é incorreto afirmar-se que

 

Provas

Questão presente nas seguintes provas
3588963 Ano: 2007
Disciplina: Estatística
Banca: ESAF
Orgão: SEFAZ-CE

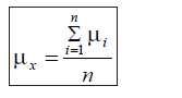
A média aritmética discreta de uma população qualquer é dada pela seguinte formulação:

 

Provas

Questão presente nas seguintes provas
3588960 Ano: 2007
Disciplina: TI - Redes de Computadores
Banca: ESAF
Orgão: SEFAZ-CE
Provas:

Em termos de sistemas distribuídos e redes, analise as afirmações a seguir e assinale a opção correta.

I - Compartilhamento de recursos, aumento da velocidade de computação, confiabilidade e comunicação são os principais fatores para a criação de sistemas distribuídos.

II - Em redes parcialmente conectadas, as mensagens devem ser roteadas através de enlaces de comunicação, resultando em um custo total de comunicação menor que em redes totalmente conectadas.

III - O roteamento de mensagens pode acontecer nos sistemas distribuídos, de três formas: roteamento fixo, roteamento virtual – usando rota fixa durante uma sessão; e roteamento dinâmico – com rotas estabelecidas antes do envio das mensagens.

IV - Em sistemas distribuídos, é possível usar a técnica de prevenção de deadlock por ordenação de recursos, atribuindo números exclusivos aos recursos, que podem ser, assim, acessados por processos. Um processo que deseja obter um recurso "i", somente o fará se não estiver mantendo um outro recurso com número exclusivo menor que "i".

V - Em sistemas em cluster estruturados de modo simétrico, existe o papel de uma máquina operando como hot-standby, cuja função é monitorar o servidor ativo no cluster.

 

Provas

Questão presente nas seguintes provas
3588959 Ano: 2007
Disciplina: Direito Constitucional
Banca: ESAF
Orgão: SEFAZ-CE

A Constituição Federal de 1988 incumbiu determinada espécie normativa de dispor especificamente sobre matérias de interesse dos Estados-Membros e do Distrito Federal, tais como a fixação de alíquotas mínimas e máximas do ICMS nas operações internas, e também de fixar alíquotas máximas do ITCMD. A espécie normativa que cuida dessas matérias é:

 

Provas

Questão presente nas seguintes provas