Magna Concursos

Foram encontradas 160 questões.

2446335 Ano: 2012
Disciplina: TI - Desenvolvimento de Sistemas
Banca: COPS-UEL
Orgão: SEFAZ-PR
Provas:
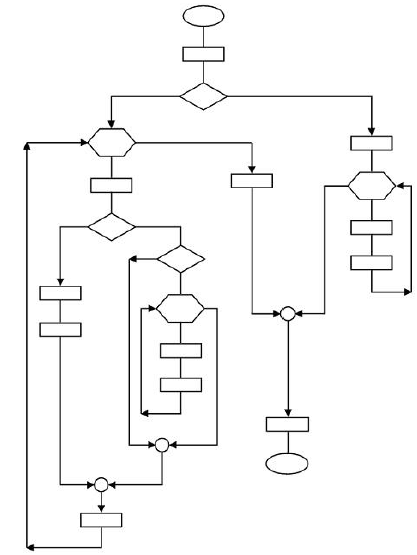
Um fluxograma pode ser entendido como um diagrama que ilustra de forma gráfica ou esquemática a sequência de passos para a realização de uma determinada tarefa ou processo, de maneira simples. Também são utilizados para ilustrar o fluxo de execução de algoritmos. Considere o fluxograma a seguir.
Enunciado 3543480-1
Assinale a alternativa que apresenta, corretamente, o pseudocódigo cujo fluxo de execução esteja representado por esse fluxograma.
 

Provas

Questão presente nas seguintes provas
2446334 Ano: 2012
Disciplina: Direito Constitucional
Banca: COPS-UEL
Orgão: SEFAZ-PR
Provas:

Leia o texto a seguir.

Embora não se tenha plena consciência disso - porque uma teoria jurídica dominada pela política não lhe dá ensejo - é certo que uma Constituição que, por não dispor de mecanismos de anulação, tolera a subsistência de atos e, sobretudo, de leis com ela incompatíveis, não passa de uma vontade despida de qualquer força vinculante.

(KELSEN, H. apud MENDES, G. F. et all. Curso de Direito Constitucional. São Paulo: Saraiva. 2007. p.953.)

Sobre o controle de constitucionalidade, considere as afirmativas a seguir.

I. Por intermédio de emenda à Constituição, ao Supremo Tribunal Federal foi dada a competência para conhecer e julgar a ação declaratória de constitucionalidade de lei ou ato normativo federal, cuja decisão de mérito possuirá eficácia contra todos e efeito vinculante relativamente aos demais órgãos do Executivo e do Judiciário.

II. O controle constitucional difuso atribui competência para o julgamento das questões constitucionais a um órgão jurisdicional superior. Por sua vez, o controle constitucional concentrado assegura a qualquer órgão judicial incumbido de aplicar a lei a um caso concreto o afastamento de sua aplicação por ser inconstitucional.

III. A Constituição Federal prevê que o Poder Judiciário é o órgão que controla a constitucionalidade das normas infraconstitucionais, sendo inadmissível que órgãos políticos, como as Comissões de Constituição e Justiça das Casas Legislativas, exerçam este controle de competência exclusiva do judiciário.

IV. A inconstitucionalidade por omissão pressupõe a inobservância de um dever constitucional de legislar, sendo que o constituinte de 1988 conferiu importante significado ao controle de constitucionalidade da omissão com a instituição do mandado de injunção e da ação direta de inconstitucionalidade da omissão.

Assinale a alternativa correta.

 

Provas

Questão presente nas seguintes provas
2444266 Ano: 2012
Disciplina: Português
Banca: COPS-UEL
Orgão: SEFAZ-PR
Provas:

Leia o texto a seguir e responda à questão.

Quem fala palavrão no dia 1 a dia de trabalho pode ser preterido na hora da promoção. É o que mostra pesquisa feita pelo site americano CareerBuilder. O estudo, que ouviu mais de dois mil gerentes de RH e 3.800 trabalhadores, indica que 64% dos gestores analisam negativamente um empregado que use termos chulos com frequência, enquanto 57% disseram ser menos propensos a promover essa pessoa. Descontadas as diferenças culturais entre Brasil e Estados Unidos, especialistas confirmam que, aqui também, o palavrão, especialmente quando não é usado com moderação, pode ser prejudicial à imagem profissional. Principalmente em empresas grandes e com estruturas hierárquicas mais formais.

– Nos Estados Unidos, é possível notar que esse tipo de linguajar é evitado por questão de respeito, o que está associado ainda à cultura jurídica do país, muito rígida quanto a temas como o assédio moral – afirma Jorge Martins, consultor de Recrutamento da Robert Half, ao fazer a comparação. – Já no Brasil, o repúdio a esse tipo de comportamento tem mais a ver com o conservadorismo, que ainda predomina nas empresas grandes.

Martins diz, ainda, que, por aqui, e nos países latinos de maneira geral, ainda existe uma grande confusão entre o ambiente corporativo e o caseiro, o que pode explicar uma maior incidência de palavrões no mercado de trabalho nacional. Mas, para o especialista, o que pesa mesmo são as diferenças entre os setores, seja lá ou cá.

– Em empresas como agências de publicidade ou da área de TI, as pessoas se soltam mais e o palavrão é mais comum e tolerado. Já em outras indústrias mais tradicionais, que têm uma cultura corporativa forte, a coisa funciona de forma diferente. De todo modo, é fundamental sempre saber se posicionar frente ao seu interlocutor.

Ou seja: saber com quem está falando. É a regra que segue Conceição dos Santos, gerente de Departamento Pessoal de uma empresa de bebidas. Na sala que compartilha com cinco colegas, com quem tem intimidade, às vezes fala um palavrão, sem temer represálias.

– Afinal, ninguém é de ferro. Mas, quando preciso atender ao público externo ou conversar com um coordenador de outra área, evito. Tem que falar com as pessoas certas – acredita Conceição, que também faz uma diferenciação entre diferentes tipos de palavrão. – Nunca xingo ninguém ou uso um palavrão para ofender. Eu falo em momentos de estresse ou de raiva, mas sempre em tom alto, e é comigo mesma.

A gerente de DP está na estatística americana dos 51% dos empregados que usam palavrão no trabalho e dos 95% que só falam na frente dos colegas, como ainda mostra a pesquisa do CareerBuilder. E, embora os números sejam altos, quando o uso é exagerado pode criar problemas. O coach e sócio da Alliance Coaching, Alexandre Rangel, relata duas situações em que o palavreado afetou a carreira de dois profissionais. A primeira foi a de um diretor de marketing, demitido por um novo vice-presidente da companhia, entre outros motivos, por causa de seu linguajar chulo e agressivo. Já em outro caso, quando fazia um coaching para um grupo de oito supervisores, uma das questões com que Rangel precisou lidar foi a falta de tolerância de um participante com a boca suja de um dos seus pares.

– Muitas vezes, as pessoas não percebem a necessidade de mudança na maneira de agir em função do ambiente em que está. Não dá para levar o comportamento de arquibancada para o trabalho – afirma Rangel.

E, embora a maioria dos funcionários admita falar palavrão no trabalho, eles próprios se incomodam quando os colegas exageram. É o que relata uma funcionária de uma empresa da área de TI, que pre fere não se identificar. Recém-chegada ao escritório, já conseguiu se incomodar com o comportamento pouco amigável de um integrante da equipe.

– Mas não sou só eu. Houve uma rearrumação na sala, e ninguém quis sentar ao lado dessa pessoa. Para a coach Waleska Farias, especializada em gestão de carreira e imagem, uma palavra chula, muitas vezes, é utilizada como mecanismo de defesa, por quem busca mascarar algum tipo de sentimento. E, como no trabalho, nem sempre dá para botar em prática a máxima "os incomodados que se mudem", ela sugere que, quando esse tipo de comportamento atrapalha o bom humor alheio, o ideal é tentar conversar com quem provoca a discórdia.

– O primeiro passo é dizer diretamente para o “boca suja” que não gosta de palavrões. Se, ainda assim, ele não maneirar, pode ser o caso de ir falar com o chefe. A linguagem reflete o estado emocional das pessoas e a energia negativa pode acabar sendo reproduzida no entorno, o que nem sempre é bom – diz Waleska.

(Uso de palavrões no trabalho pode diminuir chances de promoção. Disponível em: <http://oglobo.globo.com/emprego/uso-depalavroes-no-trabalho-pode-diminuir-chances-de-promocao-5833571#ixzz24BQYLtAU>. Acesso em: 12 set. 2012.)

Com base no texto, assinale a alternativa correta.

 

Provas

Questão presente nas seguintes provas
2443971 Ano: 2012
Disciplina: Português
Banca: COPS-UEL
Orgão: SEFAZ-PR
Provas:

Leia o texto a seguir e responda à questão.

Quem fala palavrão no dia 1 a dia de trabalho pode ser preterido na hora da promoção. É o que mostra pesquisa feita pelo site americano CareerBuilder. O estudo, que ouviu mais de dois mil gerentes de RH e 3.800 trabalhadores, indica que 64% dos gestores analisam negativamente um empregado que use termos chulos com frequência, enquanto 57% disseram ser menos propensos a promover essa pessoa. Descontadas as diferenças culturais entre Brasil e Estados Unidos, especialistas confirmam que, aqui também, o palavrão, especialmente quando não é usado com moderação, pode ser prejudicial à imagem profissional. Principalmente em empresas grandes e com estruturas hierárquicas mais formais.

– Nos Estados Unidos, é possível notar que esse tipo de linguajar é evitado por questão de respeito, o que está associado ainda à cultura jurídica do país, muito rígida quanto a temas como o assédio moral – afirma Jorge Martins, consultor de Recrutamento da Robert Half, ao fazer a comparação. – Já no Brasil, o repúdio a esse tipo de comportamento tem mais a ver com o conservadorismo, que ainda predomina nas empresas grandes.

Martins diz, ainda, que, por aqui, e nos países latinos de maneira geral, ainda existe uma grande confusão entre o ambiente corporativo e o caseiro, o que pode explicar uma maior incidência de palavrões no mercado de trabalho nacional. Mas, para o especialista, o que pesa mesmo são as diferenças entre os setores, seja lá ou cá.

– Em empresas como agências de publicidade ou da área de TI, as pessoas se soltam mais e o palavrão é mais comum e tolerado. Já em outras indústrias mais tradicionais, que têm uma cultura corporativa forte, a coisa funciona de forma diferente. De todo modo, é fundamental sempre saber se posicionar frente ao seu interlocutor.

Ou seja: saber com quem está falando. É a regra que segue Conceição dos Santos, gerente de Departamento Pessoal de uma empresa de bebidas. Na sala que compartilha com cinco colegas, com quem tem intimidade, às vezes fala um palavrão, sem temer represálias.

– Afinal, ninguém é de ferro. Mas, quando preciso atender ao público externo ou conversar com um coordenador de outra área, evito. Tem que falar com as pessoas certas – acredita Conceição, que também faz uma diferenciação entre diferentes tipos de palavrão. – Nunca xingo ninguém ou uso um palavrão para ofender. Eu falo em momentos de estresse ou de raiva, mas sempre em tom alto, e é comigo mesma.

A gerente de DP está na estatística americana dos 51% dos empregados que usam palavrão no trabalho e dos 95% que só falam na frente dos colegas, como ainda mostra a pesquisa do CareerBuilder. E, embora os números sejam altos, quando o uso é exagerado pode criar problemas. O coach e sócio da Alliance Coaching, Alexandre Rangel, relata duas situações em que o palavreado afetou a carreira de dois profissionais. A primeira foi a de um diretor de marketing, demitido por um novo vice-presidente da companhia, entre outros motivos, por causa de seu linguajar chulo e agressivo. Já em outro caso, quando fazia um coaching para um grupo de oito supervisores, uma das questões com que Rangel precisou lidar foi a falta de tolerância de um participante com a boca suja de um dos seus pares.

– Muitas vezes, as pessoas não percebem a necessidade de mudança na maneira de agir em função do ambiente em que está. Não dá para levar o comportamento de arquibancada para o trabalho – afirma Rangel.

E, embora a maioria dos funcionários admita falar palavrão no trabalho, eles próprios se incomodam quando os colegas exageram. É o que relata uma funcionária de uma empresa da área de TI, que pre fere não se identificar. Recém-chegada ao escritório, já conseguiu se incomodar com o comportamento pouco amigável de um integrante da equipe.

– Mas não sou só eu. Houve uma rearrumação na sala, e ninguém quis sentar ao lado dessa pessoa. Para a coach Waleska Farias, especializada em gestão de carreira e imagem, uma palavra chula, muitas vezes, é utilizada como mecanismo de defesa, por quem busca mascarar algum tipo de sentimento. E, como no trabalho, nem sempre dá para botar em prática a máxima "os incomodados que se mudem", ela sugere que, quando esse tipo de comportamento atrapalha o bom humor alheio, o ideal é tentar conversar com quem provoca a discórdia.

– O primeiro passo é dizer diretamente para o “boca suja” que não gosta de palavrões. Se, ainda assim, ele não maneirar, pode ser o caso de ir falar com o chefe. A linguagem reflete o estado emocional das pessoas e a energia negativa pode acabar sendo reproduzida no entorno, o que nem sempre é bom – diz Waleska.

(Uso de palavrões no trabalho pode diminuir chances de promoção. Disponível em: <http://oglobo.globo.com/emprego/uso-depalavroes-no-trabalho-pode-diminuir-chances-de-promocao-5833571#ixzz24BQYLtAU>. Acesso em: 12 set. 2012.)

Sobre a frase "E, embora os números sejam altos, quando o uso é exagerado pode criar problemas." (linhas 29 e 30), considere as afirmativas a seguir.

I. Fica subentendida a expressão "de palavrões" logo após "uso".

II. Fica subentendido que "uso exagerado" é aquele que excede os números apurados na pesquisa.

III. O conectivo "embora" pode ser substituído por "a despeito de", sem necessidade de alteração na flexão verbal.

IV. O conectivo "embora" pode ser substituído por "ainda que", sem prejuízo do sentido original.

Assinale a alternativa correta.

 

Provas

Questão presente nas seguintes provas
2441676 Ano: 2012
Disciplina: TI - Banco de Dados
Banca: COPS-UEL
Orgão: SEFAZ-PR
Provas:
Considere o código SQL, a seguir, e responda à questão.
create table tabela(
a int(4) unsigned zerofill default ’0000’ not null,
b char(20) default ’’ not null,
c double(16,2) default ’0.00’ not null,
primary key(a,b,c));
insert into tabela values
(1,’A’,3.45),(1,’B’,3.99),(1,’C’,3.45),(1,’D’,4.05),
(2,’A’,1.69),(2,’B’,1.78),(2,’D’,1.78),
(3,’A’,2.01),(3,’B’,2.01),(3,’C’,1.97),(3,’D’,1.69),
(4,’A’,5.67),(4,’C’,5.66),(4,’D’,5.50),(4,’E’,5.49);
alter table tabela add d int(6) unsigned zerofill default ’0’;

update tabela set d=125 where b=’A’;
update tabela set d=d+157 where b<>’A’;

Realizou-se a seguinte consulta no banco de dados:

select distinct b from tabela where b in (select b from tabela where d > 125 and c < 2);

Assinale a alternativa que apresenta, corretamente, a quantidade de registros que serão retornados.
 

Provas

Questão presente nas seguintes provas
2441659 Ano: 2012
Disciplina: Português
Banca: COPS-UEL
Orgão: SEFAZ-PR
Provas:

Leia o texto a seguir e responda à questão.

Quem fala palavrão no dia 1 a dia de trabalho pode ser preterido na hora da promoção. É o que mostra pesquisa feita pelo site americano CareerBuilder. O estudo, que ouviu mais de dois mil gerentes de RH e 3.800 trabalhadores, indica que 64% dos gestores analisam negativamente um empregado que use termos chulos com frequência, enquanto 57% disseram ser menos propensos a promover essa pessoa. Descontadas as diferenças culturais entre Brasil e Estados Unidos, especialistas confirmam que, aqui também, o palavrão, especialmente quando não é usado com moderação, pode ser prejudicial à imagem profissional. Principalmente em empresas grandes e com estruturas hierárquicas mais formais.

– Nos Estados Unidos, é possível notar que esse tipo de linguajar é evitado por questão de respeito, o que está associado ainda à cultura jurídica do país, muito rígida quanto a temas como o assédio moral – afirma Jorge Martins, consultor de Recrutamento da Robert Half, ao fazer a comparação. – Já no Brasil, o repúdio a esse tipo de comportamento tem mais a ver com o conservadorismo, que ainda predomina nas empresas grandes.

Martins diz, ainda, que, por aqui, e nos países latinos de maneira geral, ainda existe uma grande confusão entre o ambiente corporativo e o caseiro, o que pode explicar uma maior incidência de palavrões no mercado de trabalho nacional. Mas, para o especialista, o que pesa mesmo são as diferenças entre os setores, seja lá ou cá.

– Em empresas como agências de publicidade ou da área de TI, as pessoas se soltam mais e o palavrão é mais comum e tolerado. Já em outras indústrias mais tradicionais, que têm uma cultura corporativa forte, a coisa funciona de forma diferente. De todo modo, é fundamental sempre saber se posicionar frente ao seu interlocutor.

Ou seja: saber com quem está falando. É a regra que segue Conceição dos Santos, gerente de Departamento Pessoal de uma empresa de bebidas. Na sala que compartilha com cinco colegas, com quem tem intimidade, às vezes fala um palavrão, sem temer represálias.

– Afinal, ninguém é de ferro. Mas, quando preciso atender ao público externo ou conversar com um coordenador de outra área, evito. Tem que falar com as pessoas certas – acredita Conceição, que também faz uma diferenciação entre diferentes tipos de palavrão. – Nunca xingo ninguém ou uso um palavrão para ofender. Eu falo em momentos de estresse ou de raiva, mas sempre em tom alto, e é comigo mesma.

A gerente de DP está na estatística americana dos 51% dos empregados que usam palavrão no trabalho e dos 95% que só falam na frente dos colegas, como ainda mostra a pesquisa do CareerBuilder. E, embora os números sejam altos, quando o uso é exagerado pode criar problemas. O coach e sócio da Alliance Coaching, Alexandre Rangel, relata duas situações em que o palavreado afetou a carreira de dois profissionais. A primeira foi a de um diretor de marketing, demitido por um novo vice-presidente da companhia, entre outros motivos, por causa de seu linguajar chulo e agressivo. Já em outro caso, quando fazia um coaching para um grupo de oito supervisores, uma das questões com que Rangel precisou lidar foi a falta de tolerância de um participante com a boca suja de um dos seus pares.

– Muitas vezes, as pessoas não percebem a necessidade de mudança na maneira de agir em função do ambiente em que está. Não dá para levar o comportamento de arquibancada para o trabalho – afirma Rangel.

E, embora a maioria dos funcionários admita falar palavrão no trabalho, eles próprios se incomodam quando os colegas exageram. É o que relata uma funcionária de uma empresa da área de TI, que pre fere não se identificar. Recém-chegada ao escritório, já conseguiu se incomodar com o comportamento pouco amigável de um integrante da equipe.

– Mas não sou só eu. Houve uma rearrumação na sala, e ninguém quis sentar ao lado dessa pessoa. Para a coach Waleska Farias, especializada em gestão de carreira e imagem, uma palavra chula, muitas vezes, é utilizada como mecanismo de defesa, por quem busca mascarar algum tipo de sentimento. E, como no trabalho, nem sempre dá para botar em prática a máxima "os incomodados que se mudem", ela sugere que, quando esse tipo de comportamento atrapalha o bom humor alheio, o ideal é tentar conversar com quem provoca a discórdia.

– O primeiro passo é dizer diretamente para o “boca suja” que não gosta de palavrões. Se, ainda assim, ele não maneirar, pode ser o caso de ir falar com o chefe. A linguagem reflete o estado emocional das pessoas e a energia negativa pode acabar sendo reproduzida no entorno, o que nem sempre é bom – diz Waleska.

(Uso de palavrões no trabalho pode diminuir chances de promoção. Disponível em: <http://oglobo.globo.com/emprego/uso-depalavroes-no-trabalho-pode-diminuir-chances-de-promocao-5833571#ixzz24BQYLtAU>. Acesso em: 12 set. 2012.)

Sobre os termos "profissional" e "profissionais", assinale a alternativa correta.

 

Provas

Questão presente nas seguintes provas
2439024 Ano: 2012
Disciplina: Português
Banca: COPS-UEL
Orgão: SEFAZ-PR
Provas:

Leia o texto a seguir e responda à questão.

Quem fala palavrão no dia 1 a dia de trabalho pode ser preterido na hora da promoção. É o que mostra pesquisa feita pelo site americano CareerBuilder. O estudo, que ouviu mais de dois mil gerentes de RH e 3.800 trabalhadores, indica que 64% dos gestores analisam negativamente um empregado que use termos chulos com frequência, enquanto 57% disseram ser menos propensos a promover essa pessoa. Descontadas as diferenças culturais entre Brasil e Estados Unidos, especialistas confirmam que, aqui também, o palavrão, especialmente quando não é usado com moderação, pode ser prejudicial à imagem profissional. Principalmente em empresas grandes e com estruturas hierárquicas mais formais.

– Nos Estados Unidos, é possível notar que esse tipo de linguajar é evitado por questão de respeito, o que está associado ainda à cultura jurídica do país, muito rígida quanto a temas como o assédio moral – afirma Jorge Martins, consultor de Recrutamento da Robert Half, ao fazer a comparação. – Já no Brasil, o repúdio a esse tipo de comportamento tem mais a ver com o conservadorismo, que ainda predomina nas empresas grandes.

Martins diz, ainda, que, por aqui, e nos países latinos de maneira geral, ainda existe uma grande confusão entre o ambiente corporativo e o caseiro, o que pode explicar uma maior incidência de palavrões no mercado de trabalho nacional. Mas, para o especialista, o que pesa mesmo são as diferenças entre os setores, seja lá ou cá.

– Em empresas como agências de publicidade ou da área de TI, as pessoas se soltam mais e o palavrão é mais comum e tolerado. Já em outras indústrias mais tradicionais, que têm uma cultura corporativa forte, a coisa funciona de forma diferente. De todo modo, é fundamental sempre saber se posicionar frente ao seu interlocutor.

Ou seja: saber com quem está falando. É a regra que segue Conceição dos Santos, gerente de Departamento Pessoal de uma empresa de bebidas. Na sala que compartilha com cinco colegas, com quem tem intimidade, às vezes fala um palavrão, sem temer represálias.

– Afinal, ninguém é de ferro. Mas, quando preciso atender ao público externo ou conversar com um coordenador de outra área, evito. Tem que falar com as pessoas certas – acredita Conceição, que também faz uma diferenciação entre diferentes tipos de palavrão. – Nunca xingo ninguém ou uso um palavrão para ofender. Eu falo em momentos de estresse ou de raiva, mas sempre em tom alto, e é comigo mesma.

A gerente de DP está na estatística americana dos 51% dos empregados que usam palavrão no trabalho e dos 95% que só falam na frente dos colegas, como ainda mostra a pesquisa do CareerBuilder. E, embora os números sejam altos, quando o uso é exagerado pode criar problemas. O coach e sócio da Alliance Coaching, Alexandre Rangel, relata duas situações em que o palavreado afetou a carreira de dois profissionais. A primeira foi a de um diretor de marketing, demitido por um novo vice-presidente da companhia, entre outros motivos, por causa de seu linguajar chulo e agressivo. Já em outro caso, quando fazia um coaching para um grupo de oito supervisores, uma das questões com que Rangel precisou lidar foi a falta de tolerância de um participante com a boca suja de um dos seus pares.

– Muitas vezes, as pessoas não percebem a necessidade de mudança na maneira de agir em função do ambiente em que está. Não dá para levar o comportamento de arquibancada para o trabalho – afirma Rangel.

E, embora a maioria dos funcionários admita falar palavrão no trabalho, eles próprios se incomodam quando os colegas exageram. É o que relata uma funcionária de uma empresa da área de TI, que pre fere não se identificar. Recém-chegada ao escritório, já conseguiu se incomodar com o comportamento pouco amigável de um integrante da equipe.

– Mas não sou só eu. Houve uma rearrumação na sala, e ninguém quis sentar ao lado dessa pessoa. Para a coach Waleska Farias, especializada em gestão de carreira e imagem, uma palavra chula, muitas vezes, é utilizada como mecanismo de defesa, por quem busca mascarar algum tipo de sentimento. E, como no trabalho, nem sempre dá para botar em prática a máxima "os incomodados que se mudem", ela sugere que, quando esse tipo de comportamento atrapalha o bom humor alheio, o ideal é tentar conversar com quem provoca a discórdia.

– O primeiro passo é dizer diretamente para o “boca suja” que não gosta de palavrões. Se, ainda assim, ele não maneirar, pode ser o caso de ir falar com o chefe. A linguagem reflete o estado emocional das pessoas e a energia negativa pode acabar sendo reproduzida no entorno, o que nem sempre é bom – diz Waleska.

(Uso de palavrões no trabalho pode diminuir chances de promoção. Disponível em: <http://oglobo.globo.com/emprego/uso-depalavroes-no-trabalho-pode-diminuir-chances-de-promocao-5833571#ixzz24BQYLtAU>. Acesso em: 12 set. 2012.)

Assinale a alternativa que explica, corretamente, a frase: "De todo modo, é fundamental sempre saber se posicionar frente ao seu interlocutor.".

 

Provas

Questão presente nas seguintes provas
2435089 Ano: 2012
Disciplina: Português
Banca: COPS-UEL
Orgão: SEFAZ-PR
Provas:

Leia o texto a seguir e responda à questão.

Quem fala palavrão no dia 1 a dia de trabalho pode ser preterido na hora da promoção. É o que mostra pesquisa feita pelo site americano CareerBuilder. O estudo, que ouviu mais de dois mil gerentes de RH e 3.800 trabalhadores, indica que 64% dos gestores analisam negativamente um empregado que use termos chulos com frequência, enquanto 57% disseram ser menos propensos a promover essa pessoa. Descontadas as diferenças culturais entre Brasil e Estados Unidos, especialistas confirmam que, aqui também, o palavrão, especialmente quando não é usado com moderação, pode ser prejudicial à imagem profissional. Principalmente em empresas grandes e com estruturas hierárquicas mais formais.

– Nos Estados Unidos, é possível notar que esse tipo de linguajar é evitado por questão de respeito, o que está associado ainda à cultura jurídica do país, muito rígida quanto a temas como o assédio moral – afirma Jorge Martins, consultor de Recrutamento da Robert Half, ao fazer a comparação. – Já no Brasil, o repúdio a esse tipo de comportamento tem mais a ver com o conservadorismo, que ainda predomina nas empresas grandes.

Martins diz, ainda, que, por aqui, e nos países latinos de maneira geral, ainda existe uma grande confusão entre o ambiente corporativo e o caseiro, o que pode explicar uma maior incidência de palavrões no mercado de trabalho nacional. Mas, para o especialista, o que pesa mesmo são as diferenças entre os setores, seja lá ou cá.

– Em empresas como agências de publicidade ou da área de TI, as pessoas se soltam mais e o palavrão é mais comum e tolerado. Já em outras indústrias mais tradicionais, que têm uma cultura corporativa forte, a coisa funciona de forma diferente. De todo modo, é fundamental sempre saber se posicionar frente ao seu interlocutor.

Ou seja: saber com quem está falando. É a regra que segue Conceição dos Santos, gerente de Departamento Pessoal de uma empresa de bebidas. Na sala que compartilha com cinco colegas, com quem tem intimidade, às vezes fala um palavrão, sem temer represálias.

– Afinal, ninguém é de ferro. Mas, quando preciso atender ao público externo ou conversar com um coordenador de outra área, evito. Tem que falar com as pessoas certas – acredita Conceição, que também faz uma diferenciação entre diferentes tipos de palavrão. – Nunca xingo ninguém ou uso um palavrão para ofender. Eu falo em momentos de estresse ou de raiva, mas sempre em tom alto, e é comigo mesma.

A gerente de DP está na estatística americana dos 51% dos empregados que usam palavrão no trabalho e dos 95% que só falam na frente dos colegas, como ainda mostra a pesquisa do CareerBuilder. E, embora os números sejam altos, quando o uso é exagerado pode criar problemas. O coach e sócio da Alliance Coaching, Alexandre Rangel, relata duas situações em que o palavreado afetou a carreira de dois profissionais. A primeira foi a de um diretor de marketing, demitido por um novo vice-presidente da companhia, entre outros motivos, por causa de seu linguajar chulo e agressivo. Já em outro caso, quando fazia um coaching para um grupo de oito supervisores, uma das questões com que Rangel precisou lidar foi a falta de tolerância de um participante com a boca suja de um dos seus pares.

– Muitas vezes, as pessoas não percebem a necessidade de mudança na maneira de agir em função do ambiente em que está. Não dá para levar o comportamento de arquibancada para o trabalho – afirma Rangel.

E, embora a maioria dos funcionários admita falar palavrão no trabalho, eles próprios se incomodam quando os colegas exageram. É o que relata uma funcionária de uma empresa da área de TI, que pre fere não se identificar. Recém-chegada ao escritório, já conseguiu se incomodar com o comportamento pouco amigável de um integrante da equipe.

– Mas não sou só eu. Houve uma rearrumação na sala, e ninguém quis sentar ao lado dessa pessoa. Para a coach Waleska Farias, especializada em gestão de carreira e imagem, uma palavra chula, muitas vezes, é utilizada como mecanismo de defesa, por quem busca mascarar algum tipo de sentimento. E, como no trabalho, nem sempre dá para botar em prática a máxima "os incomodados que se mudem", ela sugere que, quando esse tipo de comportamento atrapalha o bom humor alheio, o ideal é tentar conversar com quem provoca a discórdia.

– O primeiro passo é dizer diretamente para o “boca suja” que não gosta de palavrões. Se, ainda assim, ele não maneirar, pode ser o caso de ir falar com o chefe. A linguagem reflete o estado emocional das pessoas e a energia negativa pode acabar sendo reproduzida no entorno, o que nem sempre é bom – diz Waleska.

(Uso de palavrões no trabalho pode diminuir chances de promoção. Disponível em: <http://oglobo.globo.com/emprego/uso-depalavroes-no-trabalho-pode-diminuir-chances-de-promocao-5833571#ixzz24BQYLtAU>. Acesso em: 12 set. 2012.)

A respeito da ideia de tolerância, que aparece duas vezes ao longo do texto, considere as afirmativas a seguir.

I. Nas agências de publicidade, as pessoas são mais indulgentes com o uso de palavrões.

II. Os palavrões são recebidos com menos intransigência em empresas da área de TI.

III. Um dos participantes do treinamento demonstrou pouca condescendência com o colega que abusava dos palavrões.

IV. Um participante do treinamento exibiu falta de suscetibilidade ao excesso de palavrões proferidos pelo colega.

Assinale a alternativa correta.

 

Provas

Questão presente nas seguintes provas
2433668 Ano: 2012
Disciplina: Direito Penal
Banca: COPS-UEL
Orgão: SEFAZ-PR
Provas:
O direito de ação penal
consiste na faculdade de exigir a intervenção do poder jurisdicional para que se investigue a procedência da pretensão punitiva do Estado-Administração, nos casos concretos.
(GRISPINI, F. 1947, p.296 apud BITENCOURT, C. R. Tratado de Direito Penal. 11.ed. São Paulo: Saraiva, 2007 p.698.)
Sobre a ação penal prevista no Código Penal Brasileiro, considere as afirmativas a seguir.
I. A inércia do Ministério Público possibilita ao ofendido iniciar a ação penal pública condicionada mediante queixa, substituindo, assim, sua denúncia que iniciaria a ação penal. O Ministério Público, entretanto, poderá aditar a queixa a qualquer momento.

II. A lei admite que, depois de ter representado contra alguém, o representante reconsidere essa posição e resolva retratar-se, por qualquer razão, e desistir da ação penal, desde que esta retratação ocorra antes da sentença condenatória.

III. A renúncia só poderá ocorrer em crimes de ação penal de exclusiva iniciativa privada e antes de esta ser iniciada. Após iniciada a ação penal privada, é impossível renunciar o direito de queixa, admitindo-se somente o perdão do ofendido.

IV. O ofendido decai do direito de queixa ou de representação se não o exercer dentro do prazo de seis meses, contado do dia em que veio a saber quem é o autor do crime.
Assinale a alternativa correta.
 

Provas

Questão presente nas seguintes provas
2433432 Ano: 2012
Disciplina: TI - Desenvolvimento de Sistemas
Banca: COPS-UEL
Orgão: SEFAZ-PR
Provas:
Considere o código C++ a seguir.
class A
{
private:
int i;
public:
A(){i = 2;}
A(int a){i = a;}
void print(){printf("%d",i);}
int get(){return i;}
};

class B:public A
{
private:
int j;
public:
B(){j = 1;}
void operator+=(B b){j += b.get();}
void print(){printf("%d",j);}
};

int main()
{
B b;
B c = b;
c += c;
c += c;
c.print();
return 0;
}

Assinale a alternativa que apresenta, corretamente, o valor que será impresso na linha c.print().
 

Provas

Questão presente nas seguintes provas