Foram encontradas 199 questões.
A respeito das empresas monopolistas, é correto afirmar que:
Provas
Questão presente nas seguintes provas
A respeito das curvas de indiferença com relação aos bens X e Y, analise as afirmativas a seguir:
I. Caso os consumidores prefiram ter mais dos bens X e Y a ter menos, as curvas de indiferença mais afastadas da origem são preferíveis às mais baixas.
II. As curvas de indiferença convexas em relação à origem indicam uma preferência dos consumidores com relação à variedade de bens.
III. As curvas de indiferença possuem inclinação positiva indicando que o consumidor está disposto a substituir um bem por outro.
Assinale:
I. Caso os consumidores prefiram ter mais dos bens X e Y a ter menos, as curvas de indiferença mais afastadas da origem são preferíveis às mais baixas.
II. As curvas de indiferença convexas em relação à origem indicam uma preferência dos consumidores com relação à variedade de bens.
III. As curvas de indiferença possuem inclinação positiva indicando que o consumidor está disposto a substituir um bem por outro.
Assinale:
Provas
Questão presente nas seguintes provas
A respeito da atuação das firmas nos diferentes ambientes de concorrência, analise as afirmativas a seguir:
I. Firmas que atuam em mercados de concorrência perfeita maximizam o lucro ofertando a quantidade em que a receita marginal iguala o custo marginal.
II. Firmas monopolistas maximizam o lucro ofertando a quantidade em que a receita marginal iguala o custo marginal.
III. Na competição monopolística as firmas maximizam o lucro ofertando a quantidade em que a receita marginal iguala o custo marginal.
Assinale:
I. Firmas que atuam em mercados de concorrência perfeita maximizam o lucro ofertando a quantidade em que a receita marginal iguala o custo marginal.
II. Firmas monopolistas maximizam o lucro ofertando a quantidade em que a receita marginal iguala o custo marginal.
III. Na competição monopolística as firmas maximizam o lucro ofertando a quantidade em que a receita marginal iguala o custo marginal.
Assinale:
Provas
Questão presente nas seguintes provas
Uma seca no Centro-Oeste reduz a produção de soja. Ao mesmo tempo, é divulgado um estudo que mostra que o consumo de derivados de soja eleva o risco de problemas cardíacos.
Com base nesses dois eventos, a respeito do preço e da quantidade de equilíbrio no mercado de soja, é correto afirmar que:
Com base nesses dois eventos, a respeito do preço e da quantidade de equilíbrio no mercado de soja, é correto afirmar que:
Provas
Questão presente nas seguintes provas
Um vendedor possui a seguinte preferência: 
Esse vendedor recebe a seguinte oferta de trabalho: "Você irá receber um salário de R$ 100 mais um percentual de 10% sobre as suas vendas." Sabendo-se que o vendedor tem a probabilidade p = 0,5 de vender R$ 3.000 e uma probabilidade (1 - p) de vender R$ 8.000, assinale a alternativa correta.
Esse vendedor recebe a seguinte oferta de trabalho: "Você irá receber um salário de R$ 100 mais um percentual de 10% sobre as suas vendas." Sabendo-se que o vendedor tem a probabilidade p = 0,5 de vender R$ 3.000 e uma probabilidade (1 - p) de vender R$ 8.000, assinale a alternativa correta.
Provas
Questão presente nas seguintes provas
A economia do país A possui as seguintes curvas de demanda e oferta por milho:
I. curva de demanda por milho: q=100 ? 4p;
II. curva de oferta por milho: q=10 + p.
O país A introduz um imposto de Z$ 5 por unidade, cobrado do consumidor.
Com esse imposto:
I. curva de demanda por milho: q=100 ? 4p;
II. curva de oferta por milho: q=10 + p.
O país A introduz um imposto de Z$ 5 por unidade, cobrado do consumidor.
Com esse imposto:
Provas
Questão presente nas seguintes provas
Quando a renda líquida enviada ao exterior (RLEE) é deficitária, pode-se dizer que:
Provas
Questão presente nas seguintes provas
- MicroeconomiaFundamentos de Microeconomia
- MicroeconomiaEstruturas de Mercado
- MicroeconomiaTeoria do Consumidor
Um setor é um monopólio natural. Para garantir o maior bem-estar para o consumidor assinale o que o órgão regulador deve fazer.
Provas
Questão presente nas seguintes provas
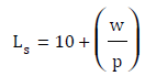
O mercado de trabalho de uma economia é caracterizado da seguinte forma:
A oferta de trabalho é igual a
e a demanda por trabalho é determinada por
O produto é determinado em função da quantidade de trabalho da seguinte forma: Y= F(L) = 20L- 0,12L.
Com base nessas informações, é correto afirmar que:
A oferta de trabalho é igual a
e a demanda por trabalho é determinada por
O produto é determinado em função da quantidade de trabalho da seguinte forma: Y= F(L) = 20L- 0,12L.
Com base nessas informações, é correto afirmar que:
Provas
Questão presente nas seguintes provas
Uma economia hipotética com governo é caracterizada da seguinte forma:

Obs.: valores em milhões de reais. O total de salários pagos é igual a R$ 200 milhões. O total gasto com o pagamento de juros e aluguéis é igual a R$ 250 milhões. O consumo total das famílias é igual a R$ 600 milhões. Com base nos dados acima, assinale a alternativa correta.

Obs.: valores em milhões de reais. O total de salários pagos é igual a R$ 200 milhões. O total gasto com o pagamento de juros e aluguéis é igual a R$ 250 milhões. O consumo total das famílias é igual a R$ 600 milhões. Com base nos dados acima, assinale a alternativa correta.
Provas
Questão presente nas seguintes provas
Cadernos
Caderno Container