Foram encontradas 1.568 questões.
A partir do elemento estrutural mostrado na figura, submetido à ação de uma força P, o estado de tensão no ponto 1 da seção indicada (mostrada em detalhe ao lado), é:
(Assuma que a barra possui raio r e momento de inércia I e momento polar de inércia J=2I.)

Provas
Considere uma estrutura constituída de três partículas, cada uma com massa m, interligadas por barras rígidas de massa desprezível formando um triângulo equilátero de lado a.
A estrutura cai livremente de uma altura h, conforme mostra a figura e a partícula C engancha no batente.

A velocidade angular da estrutura imediatamente após o choque é:
Provas
Considere um avião cujas asas possuem um reservatório de combustível. A asa possui uma massa de 10kg quando vazia (m = 10kg ) e de 1000kg quando está cheia de combustível (m cheia = 1000 kg ).

Admitindo que a asa pode ser adequadamente modelada como uma viga, conforme indicado na figura, avalie a variação na sua freqüência natural quando ela está vazia ou cheia de combustível.
Assuma conhecidos o módulo elástico, E, o momento de inércia, I, e o comprimento da viga, l.
Provas
Assinale a alternativa que indique corretamente a posição do centróide e do centro de massa, respectivamente, sabendo que a peça possui uma distribuição homogênea de massa.

Provas
Considere uma barra de 12m submetida à ação de duas forças de 40N e 80N, e suportado por um pino, conforme mostrado na figura a seguir:

Determine a distância b para que o sistema esteja em equilíbrio.
Provas
O mecanismo biela-manivela-pistão de um motor de combustão interna é mostrado na figura a seguir.

Admitindo que a força F exercida sobre o pistão é constante, determine o torque M transmitido pelo girabrequim para
Provas
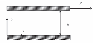
Atenção: analise o texto e a figura a seguir e responda às questões 55 e 56.
Considere duas placas planas, longas, entre as quais escoa um fluido incompressível, conforme representado na figura a seguir:

Admita agora a velocidade da placa superior positiva e o gradiente de pressão nulo. Nessas condições, o perfil de velocidades é:
Provas
Atenção: analise o texto e a figura a seguir e responda às questões 55 e 56.
Considere duas placas planas, longas, entre as quais escoa um fluido incompressível, conforme representado na figura a seguir:

Admitindo um escoamento laminar, completamente desenvolvido, onde a placa superior possui uma velocidade nula (V = 0) e que o gradiente de pressão é negativo, o perfil de velocidade é:
Provas
A partir da equação de Navier-Stokes que descreve o escoamento de fluidos newtonianos,

onde v é o campo de velocidade, p é a massa específica, p é a pressão, b é a força de corpo e
são as constantes de viscosidade, indique a equação para fluidos incompressíveis.
Provas
Uma estrutura apresenta um ponto solicitado de tal forma que apresenta um elemento infinitesimal submetido a um estado de cisalhamento puro, conforme mostrado na figura. As tensões principais,
, são, respectivamente:

Provas
Caderno Container