Foram encontradas 1.568 questões.
O primeiro passo na administração bem-sucedida da complexidade é sondar o leque de talento disponível. É um erro grave permitir desequilíbrios históricos na nacionalidade ou no background funcional do grupo administrativo para restringir a contratação ou a promoção subseqüente. No atual mercado global, o recrutamento voltado para o mercado doméstico limita a habilidade de uma empresa em capitalizar o pool mundial de habilidades gerenciais e influencia negativamente os processos de tomada de decisões. A esse respeito, analise as afirmativas a seguir:
I. As empresas precisam não apenas ampliar o pool de pessoas disponíveis para posições-chave, como precisam também desenvolver novos critérios para escolher os que têm maiores possibilidades de sucesso.
II. Em virtude de o sucesso passado não ser mais uma qualificação para tarefas cada vez mais sutis, sensíveis e imprevisíveis em nível superior de gerenciamento, a direção precisa envolver-se em um processo de seleção mais discriminatório.
III. As empresas necessitam reduzir o grupamento de pessoas disponíveis para posições-chave e preservar antigos critérios para escolher pessoas com chances maiores de sucesso.
Assinale:
Provas
A avaliação de desempenho vem, ao longo do tempo, recebendo um número expressivo de contribuições de autores e profissionais, certos de que a avaliação convencional perde espaço para novos insumos técnicos. Um bom exemplo é a avaliação de 360º, que é relativamente recente e, num certo sentido, revolucionou a área de recursos humanos. Assinale a alternativa que melhor expressa essa diferenciada forma de avaliar pessoas na organização.
Provas
A primeira e mais clara fonte de poder numa organização é a autoridade formal, um tipo de poder legitimado que é respeitado e conhecido por aqueles com quem interage. A legitimidade é uma forma de aprovação social essencial para a estabilidade das relações de poder; ela aparece quando as pessoas reconhecem que alguém tem direito de mandar em alguma área da vida humana e quando aquele que é mandado considera como um dever obedecer. Essa caracterização da legitimidade das relações de poder foi estudada pelo seguinte pensador:
Provas
O avanço tecnológico verificado no final do século XVIII ganhou velocidade ao longo do século XX e no início do XXI, de sorte que a sociedade muda cada vez mais rapidamente. Embora se trate de fenômeno contínuo, tem sido costume segmentar as mudanças das instituições econômicas em “eras”, rotulando-se as que seguiram à feudal em préindustrial, industrial e pós-industrial. Em cada uma dessas “eras”, as normas, crenças e valores vigentes, ou seja, os preceitos da cultura estão em sintonia com a situação, orientando comportamentos coletivos específicos denominados “éticas”. No que tange à era pré-industrial, em que as pessoas eram dependentes, havia poucas opções de modos de vida e o mundo era estável e com alto grau de certezas. Nesse cenário, a ética na era pré-industrial estava direcionada para:
Provas
Entre as hipóteses abaixo, qualifica-se como de impedimento o exercício da advocacia:
Provas
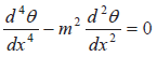
Considere uma máquina térmica que necessita de um dispositivo para dissipar calor. A melhor escolha foi uma aleta de seção transversal retangular, uniforme. Indique a forma da equação diferencial que governa este problema.
Considere que o fluxo de calor é unidimensional.
Provas
Considere o diagrama de resfriamento contínuo para aço AISI 4140 mostrado na figura.

Admitindo que uma peça fabricada com esse aço será utilizada em um componente mecânico que necessite elevada dureza, a trajetória mais indicada para um tratamento térmico
Provas
Considere um cilindro longo de raio interno ri, raio externo re, e comprimento L, conforme mostrado na figura.

Esse cilindro é submetido a um diferencial de temperatura ao longo do raio, mas pode ser considerado a uma temperatura constante ao longo do seu comprimento.
Considerando que a temperatura em T = Ti em r = ri e T = Te em r = re, avalie o fluxo de calor através do cilindro.
Provas
Depois que um avião a jato toca o chão, obtém-se um empuxo inverso para desacelerá-lo. Para um avião de duas turbinas que pesa 10 toneladas e se move no chão a uma velocidade de 60m/s, a desaceleração máxima, se cada turbina ejeta ar a uma razão de 5kg/s e a descarrega a uma velocidade relativa u=600m/s, enquanto consome 0,1kg de combustível por segundo, é de:

Provas
No diagrama temperatura–entropia (T-s) mostrado na figura, a linha que melhor representa o processo de aquecimento de água numa panela aberta é:

Provas
Caderno Container