Foram encontradas 120 questões.
Assinale a alternativa que completa correta e respectivamente as lacunas.
Calculada a Taxa Interna de Retorno (TIR) de um projeto, este será aceito se a taxa encontrada for ____________ à taxa de retorno exigida pelo investidor e rejeitado se for _____________ a essa taxa. Havendo mais de um projeto disponível que possa ser aceito, a escolha recairá naquele de ___________ TIR.
Calculada a Taxa Interna de Retorno (TIR) de um projeto, este será aceito se a taxa encontrada for ____________ à taxa de retorno exigida pelo investidor e rejeitado se for _____________ a essa taxa. Havendo mais de um projeto disponível que possa ser aceito, a escolha recairá naquele de ___________ TIR.
Provas
Questão presente nas seguintes provas
Ao adquirir um equipamento, uma empresa financia o valor de R$ 25.800,00 em 12 parcelas mensais, iguais e sucessivas, a primeira ocorrendo em 30 dias. Considerando que a taxa de juros da operação foi de 5,5% ao mês e adotando o fator de valor atual
, determine o saldo devedor após pagamento da terceira prestação, considerando o Sistema Francês de Amortização.
, determine o saldo devedor após pagamento da terceira prestação, considerando o Sistema Francês de Amortização. Provas
Questão presente nas seguintes provas
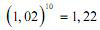
Um capital de R$ 12.000,00 é aplicado a juros compostos, durante 2 anos, produzindo um montante igual à R$ 18.000,00. Considerando que
e
, qual a taxa mensal de juros?
e
, qual a taxa mensal de juros? Provas
Questão presente nas seguintes provas
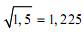
Após manter, durante 10 meses, seu capital de R$ 50.000,00 aplicado a uma taxa de 2% ao mês, um investidor resolve movimentar o montante acumulado nesse período para outro fundo, cuja rentabilidade é de 2,3% ao mês. Considerando que toda a operação ocorreu dentro do regime de juros compostos e que
e
, o saldo desse investidor, após 8 meses da segunda aplicação, será de
e
, o saldo desse investidor, após 8 meses da segunda aplicação, será de Provas
Questão presente nas seguintes provas
Acerca de limitações constitucionais ao poder de tributar, assinale a alternativa correta.
Provas
Questão presente nas seguintes provas
845873
Ano: 2009
Disciplina: Administração Financeira e Orçamentária
Banca: FUNIVERSA
Orgão: SEPLAG-DF
Disciplina: Administração Financeira e Orçamentária
Banca: FUNIVERSA
Orgão: SEPLAG-DF
Assinale a alternativa que apresenta o procedimento incorreto para o caso de alienação de imóveis de propriedade da União pelos órgãos e entidades.
Provas
Questão presente nas seguintes provas
Os deputados distritais são invioláveis, civil e penalmente, por quaisquer de suas opiniões, palavras e votos. Acerca dos deputados distritais, assinale a alternativa incorreta.
Provas
Questão presente nas seguintes provas
845827
Ano: 2009
Disciplina: Administração Financeira e Orçamentária
Banca: FUNIVERSA
Orgão: SEPLAG-DF
Disciplina: Administração Financeira e Orçamentária
Banca: FUNIVERSA
Orgão: SEPLAG-DF
Em relação aos recursos que podem ser considerados nos processos de abertura de créditos suplementares ou adicionais, julgue os itens a seguir.
I Superávit financeiro apurado em balanço patrimonial do exercício anterior.
II Restos a pagar considerados disponíveis ou com prescrição interrompida.
III Resultados de anulação total ou parcial de dotações orçamentárias.
IV Produto de operações de crédito autorizadas.
V Recursos autorizados, mas não incorporados no exercício anterior.
A quantidade de itens certos é igual a
I Superávit financeiro apurado em balanço patrimonial do exercício anterior.
II Restos a pagar considerados disponíveis ou com prescrição interrompida.
III Resultados de anulação total ou parcial de dotações orçamentárias.
IV Produto de operações de crédito autorizadas.
V Recursos autorizados, mas não incorporados no exercício anterior.
A quantidade de itens certos é igual a
Provas
Questão presente nas seguintes provas

Internet: <http://www.ibge.gov.br/english/presidencia/noticias/noticia_impressao.php?id_noticia=345> (with adaptations).
Provas
Questão presente nas seguintes provas
- Conceitos Fundamentais
- Análise de InvestimentosRendasSéries de Pagamentos
- Juros (Capitalização)Juros Compostos
Quadro, para responder à questão 65.

Uma pessoa pretende adquirir um carro que custa R$ 25.000,00. Para isso, pretende depositar um valor fixo mensal de tal modo que, no dia do 12º depósito, consiga o valor necessário para adquirir o bem. Sabendo que não haverá aumento no preço do carro e que a aplicação remunera a taxa composta de 1% ao mês, assinale a alternativa que apresenta o valor mínimo do depósito mensal necessário para atingir esse objetivo.

Uma pessoa pretende adquirir um carro que custa R$ 25.000,00. Para isso, pretende depositar um valor fixo mensal de tal modo que, no dia do 12º depósito, consiga o valor necessário para adquirir o bem. Sabendo que não haverá aumento no preço do carro e que a aplicação remunera a taxa composta de 1% ao mês, assinale a alternativa que apresenta o valor mínimo do depósito mensal necessário para atingir esse objetivo.
Provas
Questão presente nas seguintes provas
Cadernos
Caderno Container