Foram encontradas 120 questões.
Disciplina: Atualidades e Conhecimentos Gerais
Banca: CESPE / CEBRASPE
Orgão: SESA-ES

Tendo o texto acima como referência inicial e considerando a amplitude do tema por ele abordado, julgue os próximos itens.
A questão do aquecimento global mobiliza pesquisadores e centros de investigação científica nas diversas regiões do planeta, e há, hoje, inegável consenso quanto à gravidade do problema, o que salvaguarda os estudos relativos a esse tema de interesses outros que não sejam os estritamente científicos.
Provas
Acerca dos conceitos e aplicações de Internet e intranet, organização e segurança de informações, julgue os itens a seguir.
O certificado digital é uma das tecnologias que permite identificar se um sítio de informações é reconhecido pelos registradores de domínio da Internet, se seu endereço é válido e se é garantida a segurança dos usuários que baixarem arquivos gerados por certificados autoassinados.
Provas
A síndrome do cromossomo X frágil é a forma mais comum de retardo mental herdado. Essa síndrome é causada por uma expansão de trinucleotídios CGG na região 5' não traduzida do gene FMR1 mapeado em Xq28. Com relação a essa síndrome, julgue os itens a seguir.
Idosos portadores da pré-mutação podem apresentar tremores e ataxia.
Provas
A síndrome do cromossomo X frágil é a forma mais comum de retardo mental herdado. Essa síndrome é causada por uma expansão de trinucleotídios CGG na região 5' não traduzida do gene FMR1 mapeado em Xq28. Com relação a essa síndrome, julgue os itens a seguir.
Indivíduos afetados possuem pelo menos 400 repetições CGG.
Provas
A síndrome do cromossomo X frágil é a forma mais comum de retardo mental herdado. Essa síndrome é causada por uma expansão de trinucleotídios CGG na região 5' não traduzida do gene FMR1 mapeado em Xq28. Com relação a essa síndrome, julgue os itens a seguir.
Homens portadores da pré-mutação terão todas as suas filhas afetadas pela síndrome.
Provas
A síndrome do cromossomo X frágil é a forma mais comum de retardo mental herdado. Essa síndrome é causada por uma expansão de trinucleotídios CGG na região 5' não traduzida do gene FMR1 mapeado em Xq28. Com relação a essa síndrome, julgue os itens a seguir.
Mulheres portadoras de pré-mutações no gene FMR1 podem apresentar menopausa precoce.
Provas

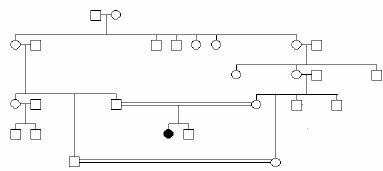
Com referência ao heredograma acima, relativo a um casal de primos que teve uma criança afetada por nanismo diastrófico, de herança autossômica recessiva, julgue os itens que se subseguem.
O risco de que uma criança do outro casamento consanguíneo indicado no heredograma venha a ser afetada pelo nanismo diastrófico é de 12,5%.
Provas

Com referência ao heredograma acima, relativo a um casal de primos que teve uma criança afetada por nanismo diastrófico, de herança autossômica recessiva, julgue os itens que se subseguem.
O risco de recorrência do nanismo diastrófico para um terceiro filho desse casal é de 50%.
Provas

Com referência ao heredograma acima, relativo a um casal de primos que teve uma criança afetada por nanismo diastrófico, de herança autossômica recessiva, julgue os itens que se subseguem.
O nanismo diastrófico se caracteriza por baixa estatura, presença de ossos tubulares curtos, limitação de movimentos das articulações, pé torto congênito e hipertrofia da cartilagem auricular.
Provas

Com referência ao heredograma acima, relativo a um casal de primos que teve uma criança afetada por nanismo diastrófico, de herança autossômica recessiva, julgue os itens que se subseguem.
A atelosteogênese do tipo II deve ser considerada no diagnóstico diferencial do nanismo diastrófico, especialmente em recém-nascidos.
Provas
Caderno Container