Foram encontradas 199 questões.
- Avaliação EducacionalFunções da Avaliação Escolar e a Análise dos ResultadosPráticas avaliativas
- Temas Educacionais Pedagógicos

De acordo com o texto acima, a avaliação atual do ensino mascara:
Provas
O livro Timeu, escrito no século IV a .C contém as idéias de Platão sobre 5 poliedros regulares: o tetraedro, o cubo, o octaedro, o dodecaedro e o icosaedro, chamados "poliedros de Platão". Imagine que você seja joalheiro e que possua uma pedra preciosa na forma de um cubo, e deseja esculpi-la. A pedra esculpida terá a forma de um poliedro de Platão cujos vértices, originalmente, eram os pontos centrais das faces do cubo. Quantas faces terá a pedra esculpida?
Provas
Os pitagóricos, na primeira metade do século VI a.C., segundo Boyer, em seu livro História da Matemática, estudaram os números e os classificaram de acordo com propriedades bem definidas. Assim, denominaram como perfeito o número natural cuja soma de seus divisores, distintos dele mesmo, é igual a ele.
28 é perfeito porque 28 = 1 + 2 + 4 + 7 + 14
Nicómano, no século II a.C enunciou a seguinte propriedade, relativa aos números perfeitos: se a soma 20+2 +22 +23 +...+ 2n = p é um número primo, então 2n x p é perfeito. Baseado nesta fórmula, o número perfeito e o valor correspondente de p são, respectivamente,
Provas
Na construção de gráficos de funções, Shilov, em seu livro Construindo gráficos sugere o método" traçado por operações". Segundo esse método, o gráfico de uma função polinomial pode ser traçado, por exemplo, fatorando-a em expressões de grau menor e estudando o crescimento e o sinal de cada uma das funções associadas à expressão. Assim, o gráfico da função h(x) = x2 %u2013 6x + 8 pode ser traçado a partir do produto das seguintes funções f(x) e g(x)
Provas
Sobre um quadrado ABCD, de lado de 4 cm, determinamos os pontos M,N,P e Q de tal forma que AM = BN = CP = DQ = x. A área de MNPQ ,em centímetros quadrados e em função de x, é

Provas
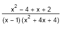
Simplificando a fração
, na qual x ≠ 1 e x ≠ −2 obtém-se
Provas
No conjunto dos números reais a inequação a x 0 x b ≥ − + tem por conjunto-solução { x∈ R / − 3 ≤ x < 4} . Os valores de a e b são, respectivamente,
Provas
A soma de dois números inteiros é 924. Juntando 78 a cada um dos números, um dos resultados fica o dobro do outro. O menor desses números é
Provas
O gráfico da figura mostra as coordenadas do ponto máximo de uma função de segundo grau do tipo f(x) = ax2 + bx + c

Provas
O valor da medida a, em centímetros, no triângulo retângulo MEU é

Provas
Caderno Container