Foram encontradas 982 questões.

Com referência à figura acima, que ilustra parte da planta de um projeto de instalação elétrica predial de baixa tensão, bem como à segurança e à legislação que rege a execução de obras, julgue o item que se segue.
No eletroduto identificado por I, passam os condutores representados por
, ao passo que, no eletroduto II , passam os condutores representados por 
Provas
Questão presente nas seguintes provas

Tendo como referência o circuito elétrico apresentado na figura acima, julgue o item a seguir.
A tensão de saída, Vo, é igual a 7,5 V.
Provas
Questão presente nas seguintes provas
Com relação a conceitos de eletromagnetismo, julgue o item a seguir.
O campo eletrostático é não conservativo; portanto, a integral de linha de um campo eletrostático ao longo de um percurso fechado que não contenha cargas será diferente de zero.
O campo eletrostático é não conservativo; portanto, a integral de linha de um campo eletrostático ao longo de um percurso fechado que não contenha cargas será diferente de zero.
Provas
Questão presente nas seguintes provas

Tendo como referência o circuito elétrico apresentado na figura acima, julgue o item a seguir.
O circuito equivalente de Thévenin para o circuito à esquerda dos pontos 1 e 2 contém uma fonte de tensão de 7,5 V.
Provas
Questão presente nas seguintes provas
Considerando que uma carga equilibrada, ligada em triângulo, seja alimentada por uma rede trifásica de 60 Hz cuja tensão de linha seja de 220 V, que cada fase da carga seja representada por uma resistência de 40Ω conectada em série a uma indutância de 1/12H, e assumindo 3 como o valor aproximado de π , julgue o item a seguir.
A magnitude da corrente de linha necessária para alimentar a carga é superior a 6 A.
A magnitude da corrente de linha necessária para alimentar a carga é superior a 6 A.
Provas
Questão presente nas seguintes provas
Acerca de máquinas elétricas, julgue o próximo item.
Considere que um motor shunt CC, cuja resistência de armadura é 0,25 Ω, apresente uma queda de tensão nas escovas igual a 3 V, quando uma tensão de 120 V é aplicada nos terminais da armadura. Nessa situação, se uma carga conectada ao motor produzir uma força contraeletromotriz de 110 V, então a corrente de armadura será superior a 25 A.
Considere que um motor shunt CC, cuja resistência de armadura é 0,25 Ω, apresente uma queda de tensão nas escovas igual a 3 V, quando uma tensão de 120 V é aplicada nos terminais da armadura. Nessa situação, se uma carga conectada ao motor produzir uma força contraeletromotriz de 110 V, então a corrente de armadura será superior a 25 A.
Provas
Questão presente nas seguintes provas
- Transformadores e Máquinas ElétricasMáquinas EstáticasTransformador de Corrente
- Transformadores e Máquinas ElétricasMáquinas EstáticasTransformador de Potência
A respeito de transformadores de corrente (TCs), transformadores
de potencial (TPs) e disjuntores, julgue o item subsequente.
Será considerado de tempo definido um relé que, submetido a ensaio de laboratório para se determinar seu tempo de atuação em função da sobrecorrente (em kA), apresente a curva mostrada abaixo.

Será considerado de tempo definido um relé que, submetido a ensaio de laboratório para se determinar seu tempo de atuação em função da sobrecorrente (em kA), apresente a curva mostrada abaixo.

Provas
Questão presente nas seguintes provas
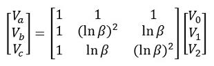
Com relação a componentes simétricos e à representação de sistemas de potência em pu (por unidade), julgue o próximo item.
Se as tensões de fase Va, Vb e Vc de um sistema de potência trifásico desequilibrado forem expressas na forma a seguir, em que V0, V1 e V2 formem um conjunto de tensões trifásicas equilibradas, então será um número complexo cuja fase será ß superior a 1 rad.

Se as tensões de fase Va, Vb e Vc de um sistema de potência trifásico desequilibrado forem expressas na forma a seguir, em que V0, V1 e V2 formem um conjunto de tensões trifásicas equilibradas, então será um número complexo cuja fase será ß superior a 1 rad.

Provas
Questão presente nas seguintes provas
- Circuitos ElétricosCircuitos CACircuitos Trifásicos
- Instalações ElétricasEficiência, Conservação e Qualidade da Energia
Considerando que uma carga equilibrada, ligada em triângulo, seja
alimentada por uma rede trifásica de 60 Hz cuja tensão de linha seja
de 220 V, que cada fase da carga seja representada por uma
resistência de 40Ω conectada em série a uma indutância de
1/12H,
e assumindo 3 como o valor aproximado de π , julgue o item a
seguir.
A conexão adicional de um capacitor de 100/3
F em paralelo com cada uma das três fases fará que o fator de potência da carga seja máximo.
A conexão adicional de um capacitor de 100/3
F em paralelo com cada uma das três fases fará que o fator de potência da carga seja máximo.Provas
Questão presente nas seguintes provas
Julgue o item a seguir, relativos a acionamentos elétricos de motores elétricos de indução.
Nas figuras abaixo, que mostram os diagramas de potência e de comando para acionamento de um motor de indução trifásico, os componentes Q1 e Q2 correspondem, respectivamente, a um disjuntor tripolar e a um disjuntor bipolar, e F2 corresponde a um relé térmico.

Nas figuras abaixo, que mostram os diagramas de potência e de comando para acionamento de um motor de indução trifásico, os componentes Q1 e Q2 correspondem, respectivamente, a um disjuntor tripolar e a um disjuntor bipolar, e F2 corresponde a um relé térmico.

Provas
Questão presente nas seguintes provas
Cadernos
Caderno Container