Foram encontradas 982 questões.
Um modelo ARMA(2, 2) não pode ser reduzido à um modelo AR(2) com o operador
= 1 - B.Provas
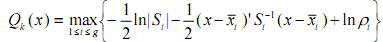
Considere que, na análise discriminante por meio do escore quadrático, o vetor x seja classificado na população k se
Nesse caso, se existirem apenas 2 populações (g = 2), e se S = S1 = S2, então a expressão de Qk(x) não dependerá de x, mas apenas de
Provas
Considere que T(X1, X2, ..., Xn) seja o estimador do tipo UMVUE ( uniformly minimum-variance unbiased estimator) de λ . Nessa situação, a variância da estatística T(X1 X2, ..., Xn) corresponde ao limite inferior de Cramer-Rao.
Provas
Se, em uma simulação de Monte Carlo, for gerado um par de valores ( X, Y ) de uma distribuição uniforme em [–1, 1], e, após m simulações, for calculada a proporção de pares tais que X2 + Y2 ≤1, então essa proporção tenderá a π , quando m →∞
4
Provas
As quantidades diárias de processos administrativos (N) protocolados em certo órgão público seguem uma distribuição de Poisson com média igual a 5. Cada processo protocolado é encaminhado para a superintendência A ou para a B e, assim, a soma \(Y = \sum \limits^N_{i = 1} X_i\), em que Xi = 1 se o processo segue para a superintendência A, e Xi = 0 se o processo segue para B, representa o total diário de processos administrativos protocolados que se destinam para a superintendência A.
Com base nessa situação, julgue o seguinte item considerando que X1, X2, ..., XN sejam variáveis aleatórias independentes, e que P(X1 = 1) = P(X2 = 1) = ... = P(XN = 1) = 0,8.
O número diário de processos protocolados que são destinados à superintendência B segue uma distribuição de Poisson com média igual a 1.
Provas
No agrupamento hierárquico, o critério denominado complete-linkage consiste em atualizar as distâncias entre dois grupos recém-agrupados como sendo o valor mínimo entre eles.
Provas
- Estatística DescritivaMedidas de Tendência CentralMédiasMédia AritméticaMédia para Dados Agrupados por Classe

Com referência à figura acima, que mostra a distribuição da renda mensal — x, em quantidades de salários mínimos (sm) — das pessoas que residem em determinada região, julgue o item subsequente.
Considerando a forma de cálculo para dados agrupados, a distribuição da renda mensal x possui média igual a 9,75 sm.
Provas
Considere que o critério de informação bayesiana (BIC) para um modelo ARMA(p, q) seja definido por , BIC( p,q ) = In
+ ( p + q ) In N/ N, em que N é o número de observações da série, e
é a estimativa da variância do modelo. Nesse caso, se
e se BIC ( 1,1 ) = 1/2BIC( K,0 ) = 2/3BIC( 0, w ) então os modelos considerados são, respectivamente, ARMA(1, 1), AR(4) e MA(3).Provas
- Gestão Estratégica
- PODC: Processo OrganizacionalProcesso Administrativo: OrganizaçãoEstratégia Organizacional
A estratégia corporativa denominada crescimento pressupõe adoção de ações do tipo reviravolta, com o objetivo de estabelecer parcerias em que duas ou mais empresas realizem um projeto específico ou cooperem em determinada área de negócio.
Provas
A implantação de um modelo de balanced scorecard pressupõe que o processo de planejamento do negócio consistirá em alocar os recursos e definir as prioridades de acordo com as metas estratégicas, evitando-se, todavia, que, na definição dos objetivos individuais, se priorizem as metas de curto prazo.
Provas
Caderno Container