Foram encontradas 982 questões.
Considerando a função de densidade conjunta na forma f(x, y) = c, em que 0 < x < y < 1 e c > 0 é uma constante de normalização, julgue o seguinte item.
A constante de normalização é inferior ou igual a 1.
A constante de normalização é inferior ou igual a 1.
Provas
Questão presente nas seguintes provas
Julgue o item a seguir, relativo à análise multivariada.
No método de agrupamento por k-médias, a probabilidade de que a configuração inicial seja próxima do resultado final do agrupamento é aproximadamente igual a 1.
No método de agrupamento por k-médias, a probabilidade de que a configuração inicial seja próxima do resultado final do agrupamento é aproximadamente igual a 1.
Provas
Questão presente nas seguintes provas
No que concerne aos processos estocásticos, julgue o item seguinte.
Se, em um processo de Markov em tempo discreto, a matriz de transição for M, e se v for o vetor distribuição estacionária do processo, então vM2 = vM100 .
Se, em um processo de Markov em tempo discreto, a matriz de transição for M, e se v for o vetor distribuição estacionária do processo, então vM2 = vM100 .
Provas
Questão presente nas seguintes provas
Considerando a função de densidade conjunta na forma f(x, y) = c, em que 0 < x < y < 1 e c > 0 é uma constante de normalização, julgue o seguinte item.
Com relação à função de densidade condicional, é correto afirmar que
= 1/y, em que 0 < x < y.Provas
Questão presente nas seguintes provas

Com referência à figura acima, que mostra a distribuição da renda mensal — x, em quantidades de salários mínimos (sm) — das pessoas que residem em determinada região, julgue o item subsequente.
A variável x, por possuir quatro níveis de respostas, é do tipo qualitativa ordinal.
Provas
Questão presente nas seguintes provas
Com referência à estatística computacional, julgue o item subsequente.
Se um gerador de números aleatórios atualizar os valores de acordo com a equação xn = (a + bxn – 1) mod k, em que a, b e k sejam números primos, então, se a = k, o gerador de números aleatórios somente funcionará se a semente for diferente de zero.
Se um gerador de números aleatórios atualizar os valores de acordo com a equação xn = (a + bxn – 1) mod k, em que a, b e k sejam números primos, então, se a = k, o gerador de números aleatórios somente funcionará se a semente for diferente de zero.
Provas
Questão presente nas seguintes provas
Considere que a amostra aleatória simples X1, X2, ..., Xn tenha sido retirada de uma distribuição exponencial com função de densidade na forma f(x) = λexp(–λx), em que x > 0 e λ > 0. Com relação a essa amostra e à inferência estatística, julgue o item que se segue.
De acordo com o teorema limite central, a soma
segue uma distribuição normal.
De acordo com o teorema limite central, a soma
segue uma distribuição normal.Provas
Questão presente nas seguintes provas

Um estudo foi realizado para avaliar a associação linear entre o valor de uma causa judicial trabalhista (Y) e o seu tempo de duração do processo (X). Considerando o modelo de regressão linear simples na forma Yi = aXi + b + εi , em que εi representa o erro aleatório normal com média nula e variância V, a tabela acima mostra alguns resultados. Com base nessas informações, considerando que
representa a estimativa de mínimos quadrados ordinários do coeficiente angular desse modelo de regressão linear,
julgue o próximo item.
Com respeito ao teste de hipóteses H0 : a = 0 versus H0 : a ≠ 0, o valor absoluto da razão t é superior a 15.
Provas
Questão presente nas seguintes provas
Julgue o item seguinte , relativo à técnica de amostragem.
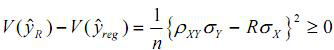
Considerando os estimadores
= média amostral;
= estimador regressão para a média populacional e
= estimador razão para a média populacional, e sabendo que
e que
,é correto afirmar que
, somente se cov(X, Y ) < 0,5R V(X),em que R é a razão populacional entre e Y e X.
Considerando os estimadores
= média amostral;
= estimador regressão para a média populacional e
= estimador razão para a média populacional, e sabendo que
e que
,é correto afirmar que
, somente se cov(X, Y ) < 0,5R V(X),em que R é a razão populacional entre e Y e X.Provas
Questão presente nas seguintes provas
Pedro e João são os oficiais de justiça no plantão do fórum de determinado município. Em uma diligência distribuída a Pedro, X é a variável aleatória que representa o sucesso (X = 1) ou fracasso (X = 0) no cumprimento desse mandado. Analogamente, Y é a variável aleatória que representa o sucesso (Y = 1) ou fracasso (Y = 0) de uma diligência do oficial João.
Com base nessa situação hipotética e considerando a soma S = X + Y, e que P(X = 1) = P(Y = 1) = 0,6 e E(XY) = 0,5, julgue o item que se segue, acerca das variáveis aleatórias X, Y e S.
A variável aleatória S segue uma distribuição binomial com parâmetros n = 2 e p = 0,6.
Com base nessa situação hipotética e considerando a soma S = X + Y, e que P(X = 1) = P(Y = 1) = 0,6 e E(XY) = 0,5, julgue o item que se segue, acerca das variáveis aleatórias X, Y e S.
A variável aleatória S segue uma distribuição binomial com parâmetros n = 2 e p = 0,6.
Provas
Questão presente nas seguintes provas
Cadernos
Caderno Container